Bereicherung des deutschen Wortschatzes durch Bildung von
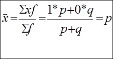
Характеристика вариации альтернативного признака
| ВАРИАНТЫ | ЧАСТОСТЬ | Средняя | Дисперсия |
| p |
|
| |
| q | |||
| ИТОГО |
![]() | |||
![]() |
σ2=p*q
![]() |
Пример. Бригада рабочих выпустила за смену 30 деталей, 4 из них бракованные. Определить дисперсию доли бракованных деталей.
p =4 / 30;q =(1-4/30) = 26/32;
σ2 =(4/30)*(26/30)=0,116
КОНЕЦ









