С помощью теории матриц любую систему линейных алгебраических уравнений можно представить и решить в простой и наглядной форме.
Пусть задана система уравнений общего вида. Неизвестные
и свободные члены
представим как векторы - столбцы
.
Коэффициенты
при неизвестных запишем в виде матрицы порядка 
.
Тогда система может быть записана в виде одного матричного уравнения
(1)
относительно неизвестной матрицы - столбца X.
Под решением матричного уравнения (1) понимают такую матрицу - столбец X, которая обращает данное уравнение в верное равенство. Это возможно не для всякой матрицы A, а только для квадратной и невырожденной.
Итак, пусть A - матрица коэффициентов системы квадратная
и невырожденная. В таком случае существует обратная матрица
. Очевидно, что
согласована с матрицами
и B.
Умножив обе части матричного уравнения (1) слева на матрицу
, получим
.
Отсюда с учетом свойств умножения матриц, следует
.
Так как
, а
, то
. (2)
Вектор - столбец неизвестных X определяется однозначно. Убедимся, что этот вектор удовлетворяет уравнению (1). Подставив соотношение (2) в уравнение (1), получим
|
|
|
, откуда
.
Итак, матрица - столбец (2) удовлетворяет уравнению (1), следовательно, является его единственным решением.
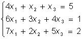
Пример. Решить матричным методом систему линейных уравнений
.
Решение. Запишем систему в виде матричного уравнения
.
Найдем обратную матрицу 
.
По формуле (2) находим решение системы
.
Таким образом, 
Рассматривай Рис.12.
АС=АВ+ВС
2. Равные отрезки имеют равные длины.
АВ=2 см, ВС=2см, значит АВ=ВС=2 см.
3. Из двух отрезков больше тот, длина которого больше.
АВ=2см,ВС=3см, значит АВ< ВС
4. Длину отрезка АВ называют расстоянием между точками А и В
ЛОМАНАЯ- геометрическая фигура, которая состоит из множества
Отрезков(звеньев.)
Длиной ломаной называют сумму длин всех ее отрезков.
АВСДЕ=АВ+ВС+СД+ДЕ
Раздел 1 Краткий экскурс в теорию сетей
Краткое содержание раздела:
· Принципы действия сетевых протоколов TCP и IP.
· Алгоритмы передачи информации в сети Интернет.
· Назначение основных сетевых протоколов.
· Возможные виды подключения к Интернету.
· Правила использования информации, являющейся частной собственностью третьих лиц.
Современный Интернет — весьма сложная и высокотехнологичная система, позволяющая пользователю общаться с людьми, находящимися в любой точке земного шара, быстро и комфортно отыскивать любую необходимую информацию, публиковать для всеобщего сведения данные, которые он хотел бы сообщить всему миру. С помощью Интернета можно найти себе подходящую работу и расширить круг знакомств, обсудить интересующие вас темы и просто приятно провести время. Даже если вы уже имеете опыт работы во Всемирной сети и умеете обращаться с соответствующим программным обеспечением, теоретические вопросы, освещенные в рамках данной главы, наверняка будут вам полезны, поскольку этот урок содержит необходимый комплекс терминов и понятий, которыми мы будем оперировать в последующих разделах настоящей книги.
|
|
|
Как появился Интернет. История рождения большинства великих изобретений во многом сходна: люди пытаются открыть что-то скучное и неинтересное, а в результате получается нечто весьма забавное. Например, они хотели создать эффективный источник энергии, который заменил бы уголь и пар, а придумали атомную бомбу. Один чудак старался изобрести средство от поноса, а вышла пепси-кола. Практически то же произошло и с Интернетом.
В конце далеких семидесятых годов Министерство обороны США задалось идеей создать электронную сеть, с помощью которой компьютеры военных штабов и командных пунктов могли бы успешно обмениваться информацией в случае бомбардировки указанных объектов русскими атомными ракетами. Коммуникации, проложенные между бункерами, должны были, по замыслу министров, выдержать наводнения, цунами, землетрясения, ураганы, прямые по- падания метеоритов и другие неприятные погодные явления. Сеть была спроектирована, исходя из принципа малой надежности, то есть таким образом, что продолжала бы исправно перекачивать информацию между компьютерами, даже когда отдельные ее участки могли неожиданно исчезнуть, превратившись в атомную пыль. Исследования, проведенные в рамках этого проекта, были профинансированы Управлением перспективных научных разработок США(Advanced Research Project Agency, ARPA), и в 1968 году такая система была создана. В честь «спонсоров», вложивших весьма внушительный капитал в развитие первой в мире полнофункциональной вычислительной сети, ей дали краткое и звучное название ARPAnet.
Возникновение данной электронной сети осталось бы не замеченным, или этот факт забылся бы со временем, если бы не несколько концептуальных особенностей, заложенных в ее проект. Во-первых, все компьютеры, входящие в сеть, общались между собой «на равных», то есть в ARPAnet не существовало структуры «главный компьютер — подчиненный компьютер». Во-вторых, в качестве основного сетевого протокола ARPAnet был принят межсетевой протокол IP.
ПРИМЕЧАНИЕ Сетевым протоколом называется согласованный и утвержденный стандарт, содержащий описание правил приема и передачи между двумя компьютерами команд, текста, графики, иных данных и служащий для синхронизации работы нескольких вычислительных машин в сети.
Другими словами, межсетевой протокол — это некий «свод законов для компьютеров», набор правил, позволяющий нескольким машинам обмениваться данными посредством сетевых коммуникаций. Именно протокол IP стал впоследствии главным протоколом Всемирной сети Интернет.
Межсетевой протокол IP (Internet Protocol) является универсальным кроссплатформенным стандартом, позволяющим объединять в сеть разнородные вы- числительные машины, работающие под управлением различных операционных систем. Важно лишь, чтобы все эти системы поддерживали протокол IP.О принципах передачи данных на основе указанного протокола мы подробно побеседуем в следующем разделе этого урока, а пока вернемся к истории создания Интернета.
В начале восьмидесятых годов Национальный научный фонд США (NationalScience Foundation) создал пять локальных сетей, соединив в единый комплекс их центральные компьютеры — сетевые рабочие станции. Эти системы, как иARPAnet, использовали протокол обмена данными IP. Согласно заложенной в данный проект идее планировалось объединить большинство американских исследовательских центров в глобальную информационную систему, создав свое- образную «сеть сетей» (Internetwork, сокращенно — Internet). Эта система должна была содержать самую свежую, постоянно обновляющуюся информацию о научных исследованиях изыскательских учреждений США. По замыслу Национального научного фонда, появление такой сети позволило бы большинству исследовательских институтов Америки иметь быстрый доступ к самым со- временным разработкам ученых. А вот получилось из этой идеи совсем не то, что планировали ее авторы.
Многочисленные коммерческие организации, имеющие к науке отношение весьма далекое, в духе времени стали создавать собственные локальные сети, связывавшие между собой, например, отдел продаж, приемную совета директоров ибухгалтерию. Это было очень удобно: информация передавалась через коммуникационные линии мгновенно и практически никогда не терялась. Ученые же встали перед сложной проблемой: соединять в сеть университеты, находящиеся в разных штатах, было слишком разорительно — чересчур много специального кабеля пришлось бы проложить под землей (к тому времени обычные телефонные линии уже не обеспечивали должной скорости передачи данных). При- шлось, умерив гордыню, идти к коммерсантам с предложением соединить между собой ближайшие, расположенные в соседних домах локальные сети, связав проводом сетевые станции подсетей двух фирм. При такой схеме информация могла бы передаваться от одного компьютера к другому через ближайших соседей. Коммерсанты с радостью согласились — не могли же они упустить уникальную возможность обмениваться документами и биржевыми котировками с партнерами в других городах, причем по цене платы за электроэнергию! Связь быстро была установлена. Кто-то соединил кабелем компьютер, расположенный в США, с сетевой станцией в Канаде, к которой, в свою очередь, стали подключаться местные локальные сети, С появлением специализированных спутников открылась возможность ретранслировать информационный сигнал через океан, благодаря чему вскоре была налажена связь с одним из европейских университетов, с которым соединилась пара сотен местных локальных систем...
|
|
|
Секретарю одной фирмы, до безумия обожавшему комиксы, внезапно пришло в голову разместить на своем сетевом компьютере их электронную подшивку за несколько лет, бухгалтер другой конторы выложил в сеть фотографии из своего любимого кинофильма, доступ к которым получили все пользователи этой глобальной информационной системы. И вскоре ученые, схватившись за голову, обнаружили, что их научно-исследовательская электронная сеть превратилась внечто невообразимое. Вместо файлов с отчетами о брачных повадках африканских страусов они получили потоки информации о состоянии дел на австралийской валютной бирже, обмен электронными пакетами с изображениями обнаженных поп-звезд и рецептами приготовления русского самогона. Инженер из Нью-Йорка признавался в любви журналистке из Берлина, а пятеро студентов Калифорнийского университета и аспирант парижского колледжа самозабвенно резались в DOOM на институтской сетевой машине... Ученые получили Интернет.
|
|
|
Тем временем Международная организация по стандартизации (Organizationfor International Standardization, ISO) стала разрабатывать сетевой протокол, который позволил бы «увязать» между собой все компьютеры в разных частях света. Однако пока ISO в муках рождала новый стандарт, пользователи прекрасно договорились между собой сами и установили на своих машинах программное обеспечение, поддерживающее IP. На этом протоколе Интернет работает до сих пор.
К концу восьмидесятых годов совершенствование настольных персональных компьютеров и их удешевление привело к тому, что частные пользователи получили возможность осуществлять связь с Интернетом по коммутируемым телефонным каналам посредством модемов — устройств, преобразующих цифровой поток информации от компьютера в аналоговый звуковой сигнал и выдающих его в обычную телефонную линию. На другом конце модем принимающего компьютера трансформирует звуковой сигнал снова в цифровой. Каждый модем является как приемником, так и передатчиком информации.
ПРИМЕЧАНИЕ Единица измерения скорости связи между двумя компьютерами bps (bitper secund) определяется количеством бит передаваемой информации в секунду.
Неуклонный рост подключающихся к Интернету частных пользователей и корпоративных сетей не мог не отразиться на работоспособности системы в целом.Настал момент, когда любители DOOM и самогона перегрузили-таки большинство сетевых узлов. Фирма Merit Network Inc., получившая в 1987 году счастливое право на управление и контроль за аппаратными средствами Интернета, попросту заменила часть коммутационных линий и сетевых станций на более современные, что позволило повысить суммарный трафик Сети более чем в20 раз.
ПРИМЕЧАНИЕ Трафиком называется общий суммарный поток информации через один— сетевой компьютер.
Сетевой узел — это включенная в Интернет машина, которая объединяет несколько локальных сетей, использующих один сетевой протокол.
Совершенствование и развитие Всемирной сети происходит непрерывно, причем осуществляют его, как правило, сами владельцы локальных сетей, составляющих Интернет.
Сейчас подключиться к Интернету может каждый, с любого компьютера, на ко- тором установлено необходимое программное обеспечение и который соединен через модем с коммутируемой телефонной линией, из офиса какой-либо организации и даже из собственного дома. Причем пользователю совершенно не обязательно знать, как устроена Сеть, как она работает. Он просто включает компьютер и пользуется Интернетом.






