1. Закон Ома. Пусть в металлическом проводнике существует электрическое поле напряженностью Е = const. Co стороны поля заряд е испытывает действие силы F = eEи приобретает ускорение a = F/m = eE/m. Таким образом, во время свободного пробега электроны движутся равноускоренно, приобретая к концу свободного пробега скорость

тде átñ — среднеевремя между двумя последовательными соударениями электрона с ионами решетки.
Согласно теории Друде, в конце свободного пробега электрон, сталкиваясь с иона ми решетки, отдает им накопленную в поле энергию, поэтому скорость его упорядоченного движения становится равной нулю. Следовательно, средняя скорость направленного движения электрона
(103.1)
Классическая теория металлов не учитывает распределения электронов по скоростям, поэтому среднее время átñ свободного пробега определяется средней длиной свободного пробега átñ и средней скоростью движения электронов относительно кристаллической решетки проводника, равной áuñ + ávñ (áuñ — средняя скорость теплового движения электронов). В § 102 было показано, что ávñ ≪ áuñ, поэтому
|
|
|

Подставив значение átñ в формулу (103.1), получим

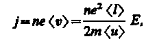
Плотность тока в металлическом проводнике, по (96.1),

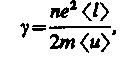
откуда видно, что плотность тока пропорциональна напряженности поля, т. е. получили закон Ома в дифференциальной форме (ср. с (98.4)). Коэффициент пропорциональности между j иEесть не что иное, как удельная проводимость материала
(103.2)
которая тем больше, чем больше концентрация свободных электронов и средняя длина их свободного пробега.
2. Закон Джоуля — Ленца. К концу свободного пробега электрон под действием поля приобретает дополнительную кинетическую энергию
(103.3)
При соударении электрона с ионом эта энергия полностью передается решетке и идет на увеличение внутренней энергии металла, т. е. на его нагревание.
За единицу времени электрон испытывает с узлами решетки в среднем ázñ столкновений:
(103.4)
Если n — концентрация электронов, то в единицу времени происходит názñ столкновений и решетке передается энергия
(103.5)
которая идет на нагревание проводника. Подставив (103.3) и (103.4) в (103.5), получим таким образом энергию, передаваемую решетке в единице объема проводника за единицу времени,
(103.6)
Величина w является удельной тепловой мощностью тока (см. § 99). Коэффициент пропорциональности между w и Е2по (103.2) есть удельная проводимость g; следовательно, выражение (103.6) — закон Джоуля — Ленца в дифференциальной форме (ср. с (99.7)).
3. Закон Видемана — Франца. Металлы обладают как большой электропроводностью, так и высокой теплопроводностью. Это объясняется тем, что носителями тока и теплоты в металлах являются одни и те же частицы — свободные электроны, которые, перемещаясь в металле, переносят не только электрический заряд, но и присущую им энергию хаотического (теплового) движения, т. е. осуществляют перенос теплоты.
|
|
|
Видеманом и Францем в 1853 г. экспериментально установлен закон, согласно которому отношение теплопроводности (А) к удельной проводимости (у) для всех металлов при одной и той же температуре одинаково и увеличивается пропорционально термодинамической температуре:

где b— постоянная, не зависящая от рода металла.
Элементарная классическая теория электропроводности металлов позволила найти значение b: b = 3(k/e)2, где k— постоянная Больцмана. Это значение хорошо согласуется с опытными данными. Однако, как оказалось впоследствии, это согласие теоретического значения с опытным случайно. Лоренц, применив к электронному газу статистику Максвелла — Больцмана, учтя тем самым распределение электронов по скоростям, получил b = 2 (k/e)2, что привело к резкому расхождению теории с опытом.
Таким образом, классическая теория электропроводности металлов объяснила законы Ома и Джоуля — Ленца, а также дала качественное объяснение закона Видемана — Франца. Однако она помимо рассмотренных противоречий в законе Видемана — Франца столкнулась еще с рядом трудностей при объяснении различных опытных данных. Рассмотрим некоторые из них.
Температурная зависимость сопротивления. Из формулы удельной проводимости (103.2) следует, что сопротивление металлов, т. е. величина, обратно пропорциональная g, должна возрастать пропорционально ÖT(в (103.2) nи á l ñ) от температуры не зависят, а áuñ» ÖT). Этот вывод электронной теории противоречит опытным данным, согласно которым R ~ Т(см. § 98).
Оценка средней длины свободного пробега электронов в металлах. Чтобы по формуле (103.2) получить g, совпадающие с опытными значениями, надо принимать á l ñ значительно больше истинных, иными словами, предполагать, что электрон проходит без соударений с ионами решетки сотни междоузельных расстояний, что не согласуется с теорией Друде — Лоренца.
Теплоемкость металлов. Теплоемкость металла складывается из теплоемкости его кристаллической решетки и теплоемкости электронного газа. Поэтому атомная (т. е. рассчитанная на 1 моль) теплоемкость металла должна быть значительно большей, чем атомная теплоемкость диэлектриков, у которых нет свободных электронов. Согласно закону Дюлонга и Пти (см. § 73), теплоемкость одноатомного кристалла равна ЗR. Учтем, что теплоемкость одноатомного электронного газа равна 3/2R. Тогда атомная теплоемкость металлов должна быть близка к 4,5R. Однако опыт доказывает, что она равна 3R, т. е. для металлов, так же как и для диэлектриков, хорошо выполняется закон Дюлонга и Пти. Следовательно, наличие электронов проводимости практически не сказывается на значении теплоемкости, что не объясняется классической электронной теорией.
Указанные расхождения теории с опытом можно объяснить тем, что движение электронов в металлах подчиняется не законам классической механики, а законам квантовой механики и, следовательно, поведение электронов проводимости надо описывать не статистикой Максвелла — Больцмана, а квантовой статистикой. Поэтому объяснить затруднения элементарной классической теории электропроводности метал лов можно лишь квантовой теорией, которая будет рассмотрена в дальнейшем. Надо, однако, отметить, что классическая электронная теория не утратила своего значения и до настоящего времени, так как во многих случаях (например, при малой концентрации электронов проводимости и высокой температуре) она дает правильные качественные результаты и является по сравнению с квантовой теорией простой и наглядной.
|
|
|






