Подобно тому, как для количественного описания поляризации диэлектриков вводилась поляризованность (см. § 88), для количественного описания намагничения магнетиков вводят векторную величину — намагниченность, определяемую магнитным моментом единицы объема магнетика:

где Рm = åpa — магнитный момент магнетика, представляющий собой векторную сумму магнитных моментов отдельных молекул (см. (131.6)).
Рассматривая характеристики магнитного поля (см. § 109), мы вводили вектор магнитной индукции В, характеризующий результирующее магнитное поле, создаваемое всеми макро- и микротоками, и вектор напряженности Н, характеризующий магнитное поле макротоков. Следовательно, магнитное поле в веществе складывается из двух полей: внешнего поля, создаваемого током, и поля, создаваемого намагниченным веществом. Тогда можем записать, что вектор магнитной индукции результирующего магнитного поля в магнетике равен векторной сумме магнитных индукций внешнего поля В0 (поля, создаваемого намагничивающим током в вакууме) и поля микротоков В' (поля, создаваемого молекулярными токами):
|
|
|
В = В0 + В¢, (133.1)
где В0 = m0Н (см. (109.3)).
Для описания поля, создаваемого молекулярными токами, рассмотрим магнетик в виде кругового цилиндра сечения S и длины l, внесенного в однородное внешнее магнитное поле с индукцией В0. Возникающее в магнетике магнитное поле молекулярных токов будет направлено противоположно внешнему полю для диамагнетиков и совпадать с ним по направлению для парамагнетиков. Плоскости всех молекулярных токов расположатся перпендикулярно вектору В0, так как векторы их магнитных моментов pm антипараллельны вектору B0 (для диамагнетиков) и параллельны В0 (для парамагнетиков). Если рассмотреть любое сечение цилиндра, перпендикулярное его оси, то во внутренних участках сечения магнетика молекулярные токи соседних атомов направлены навстречу друг другу и взаимно компенсируются (рис. 189). Нескомпенсированными будут лишь молекулярные токи, выходящие на боковую поверхность цилиндра.

Рис. 189
Ток, текущий по боковой поверхности цилиндра, подобен току в соленоиде и создает внутри него поле, магнитную индукцию В'которого можно вычислить, учитывая формулу (119.2) для N = 1 (соленоид из одного витка):
(133.2)
где I' — сила молекулярного тока, l — длина рассматриваемого цилиндра, а магнитная проницаемость mпринята равной единице.
С другой стороны, I'/I — ток, приходящийся на единицу длины цилиндра, или его линейная плотность, поэтому магнитный момент этого тока p = I' l S/ l = I'V/ l, где V— объем магнетика. Если Р— магнитный момент магнетика объемом V, то намагниченность магнетика
|
|
|
(133.3)
Сопоставляя (133.2) и (133.3), получим, что

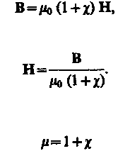
Подставив выражения для В0 и В' в (133.1), получим
(133.4) (133.5)
Как показывает опыт, в несильных полях намагниченность прямо пропорциональна напряженности поля, вызывающего намагничение, т. е.
(133.6)
где c — безразмерная величина, называемая магнитной восприимчивостью вещества. Для диамагнетиков cотрицательна (поле молекулярных токов противоположно внешнему), для парамагнетиков — положительна (поле молекулярных токов совпадает с внешним).
Используя формулу (133.6), выражение (133.4) можно записать в виде


(133.7) (133.8)
представляет собой магнитную проницаемость вещества. Подставив (133.8) в (133.7), придем к соотношению (109.3) В = m0mН, которое ранее постулировалось.
Так как абсолютное значение магнитной восприимчивости для диа- и парамагнетиков очень мало (порядка 10-4 —10-6), то для них mнезначительно отличается от единицы. Это просто понять, так как магнитное поле молекулярных токов значительно слабее намагничивающего поля. Таким образом, для диамагнетиков c < 0 и m <1, для парамагнетиков c > 0 и m > 1.
Закон полного тока для магнитного поля в веществе (теорема о циркуляции вектора В) является обобщением закона (118.1):

где I и I' — соответственно алгебраические суммы макротоков (токов проводимости) и микротоков (молекулярных токов), охватываемых произвольным замкнутым кон туром L. Таким образом, циркуляция вектора магнитной индукции В по произвольному замкнутому контуру равна алгебраической сумме токов проводимости и молекулярных токов, охватываемых этим контуром, умноженной на магнитную постоянную. Вектор В, таким образом, характеризует результирующее поле, созданное как макроскопическими токами в проводниках (токами проводимости), так и микроскопическими токами в магнетиках, поэтому линии вектора магнитной индукции В не имеют источников и являются замкнутыми.
Из теории известно, что циркуляция намагниченности J по произвольному замкнутому контуру L равна алгебраической сумме молекулярных токов, охватываемых этим контуром:

Тогда закон полного тока для магнитного поля в веществе можно записать также в виде
(133.9)
где I, подчеркнем это еще раз, есть алгебраическая сумма токов проводимости.
Выражение, стоящее в скобках в (133.9), согласно (133.5), есть не что иное, как введенный ранее вектор Н напряженности магнитного поля. Итак, циркуляция вектора Н по произвольному замкнутому контуру Lравна алгебраической сумме токов проводимости, охватываемых этим контуром:
(133.10)
Выражение (133.10) представляет собой теорему о циркуляции вектора Н.






