Предположим, что потребитель имеет набор благ, состоящий из X и Y. Все соотношения количеств этих благ для него равноценны, потребителю безразлично, какой набор выбрать. Следовательно, эти товары принадлежат к набору безразличия. Набор безразличия – набор вариантов потребительского выбора, каждый из которых обладает одинаковой полезностью и поэтому не имеет предпочтения перед другими.
Кривая безразличия является графическим отображением набора безразличия. Кривая безразличия – совокупность наборов благ, обеспечивающих потребителю равный объем удовлетворения потребностей, т. е. приносящих ему одинаковую полезность. Взяв другие возможные сочетания благ, соответствующие различным величинам совокупной полезности, можно составить карту безразличия.
Карта безразличия – совокупность кривых безразличия, соответствующих различным уровням полезности для одного потребителя и одной пары благ. Вкусы и предпочтения потребителя представляются картой кривых безразличия. Каждая следующая кривая безразличия, проходящая дальше от начала координат, предполагает относительно большую величину полезности.
|
|
|
Графическое изображение различных комбинаций двух экономических благ, имеющих одинаковую полезность для потребителя, называется кривой безразличия(U). Данный метод основан на том, что минимальный набор состоит из двух благ. При любой комбинации этих благ их суммарная полезность одинакова рис. 26.4. Двигаясь по кривой безразличия вниз, потребитель отказывается от определенного количества одного товара у в пользу большего количества другого товара х.

Рисунок 26.4 – Кривая безразличия
Любая кривая безразличия представляет одинаковую совокупную полезность различных благ для потребителя. Кривая безразличия (U) состоит из точек, символизирующих наборы товаров Х и Y. Совокупные полезности всех наборов, представленные точками на этой кривой одинаковы, т. е. потребителю безразлично, какую именно комбинацию товаров Х и Y он приобретет. Переходя от точки А к точке В, потребитель сокращает потребление блага Y на ΔY и наращивает потребление товара X на ΔХ, но общий уровень удовлетворения потребителя (совокупная полезность) остается неизменным. Карта безразличия – множество кривых безразличия, соответствующих всем возможным уровням полезности для данного потребителя. При этом, чем правее и выше расположена кривая безразличия, тем большее удовлетворение приносят представленные ею комбинации двух благ. Проекция этих кривых на горизонтальную плоскость дает нам карту безразличия 26.5.

Рисунок 26.5 – Кривая и карта безразличия
|
|
|
Кривые безразличия обладают следующими свойствами:
1 Кривая безразличия, расположенная справа и выше другой кривой, является более предпочтительной для потребителя.
2 Кривые безразличия всегда имеют отрицательный наклон, ибо рационально действующие потребители будут предпочитать большее количество любого набора меньшему.
3 Кривые безразличия имеют вогнутую форму, обусловленную уменьшающимися предельными нормами замещения.
4 Кривые безразличия никогда не пересекаются и обычно показывают уменьшающиеся предельные нормы замещения одного блага на другое.
5 Наборы благ на кривых, более удаленных от начала координат, предпочтительнее наборам благ, расположенным на менее удаленных от координат кривых.
Особенности кривых безразличия:
1 Позволяют выявить потребительские предпочтения. Но не учитывают уровень цен на товары и доход потребителя.
2 Показывают возможность замены одного блага другим, но не определяют какой именно набор товаров потребитель считает для себя наиболее выгодным по цене и доходу.
Зона замещения (субституции) – участок кривой безразличия, на котором возможна эффективная замена одного блага другим.
Взаимная замена благ X и Y возможна только в пределах отрезка АВ (зоне замены) рис. 26.4. Количество блага Х1 представляет минимально необходимое количество потребления блага X, от которого потребитель не может отказаться, как бы много товара Y ни предлагалось взамен. Аналогично Y1 – минимально необходимое количество потребления блага Y. Предельная норма замещения – норма, в соответствии с которой одно благо может быть заменено другим благом без выигрыша или потери полезности для потребителя. Предельная норма замещения – количество одного блага, от которого потребитель готов отказаться, чтобы получить дополнительную единицу другого блага. Предельная норма замещения рассчитывается следующим образом ф-ла 26.7:
(26.7)
где MRS – предельная норма замещения; Qx – количество товара X; QY – количество товара Y.
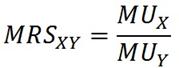
Предельная норма замещения всегда отрицательная величина, так как прирост потребления одного блага происходит за счет сокращения потребления другого. Предельная норма замещения уменьшается при движении вдоль кривой безразличия – получая в свое распоряжение все большее количество данного блага и наращивая его потребление, покупатель в обмен готов отказаться от все меньшего количества другого блага, которое становится все более дефицитным. У потребителя, желающего остаться на той же кривой безразличия, прирост полезности от наращивания потребления блага X должен быть равен потере полезности от сокращения потребления товара Y. Таким образом, предельная норма замещения блага X благом Y может рассматриваться как отношение предельной полезности блага X к предельной полезности блага Y:
(26.8)
На кривой безразличия зона замещения обозначена отрезком RS (рис. 26.6). Взаимная замена благ Х и Y имеет смысл только в пределах отрезка RS. Вне отрезка замена исключается. Два блага выступают как независимые друг от друга.

Рисунок 26.6 – Зона замещения на кривой безразличия