Анализ спроса и предложения, позволил выявить общие направления изменения спроса и предложения под воздействием ценовых и неценовых факторов и сформулировать базовый закон — закон спроса и предложения. Однако часто исследователю бывает недостаточно знать, что рост цены вызывает сокращение объема спроса на товар, нужна более точная количественная оценка, ибо указанное сокращение может быть быстрым или медленным, сильным или слабым.
Чувствительность рынка к изменению цен, дохода или каких-либо других показателей рыночной конъюнктуры отражается в показателе эластичности, которая может быть охарактеризована специальным коэффициентом.
Концепция эластичности в экономической теории появилась достаточно поздно, но очень быстро стала одной из фундаментальных. Общее понятие эластичности пришло в экономику из естественных наук. Впервые термин "эластичность" был использован и применен в научном анализе известным ученым XVII в., физиком и химиком Робертом Бойлем (1626-1691) при изучении свойств газов (знаменитый закон Бойля-Мариотта).
Коэффициент эластичности показывает степень количественного изменения одного фактора (например, объема спроса или предложения) при изменении другого (цены, доходов или издержек) на 1%.
Эластичность спроса или предложения вычисляется как отношение процентного изменения величины спроса (предложения) к процентному изменению какой-либо детерминанты.
Детерминанты – это факторы оказывающие воздействие на спрос или предложение.
Различные товары различаются между собой по степени изменения спроса под воздействием того, или иного фактора. Степень реакции спроса на эти товары поддается количественному измерению с помощью коэффициента эластичности спроса.
Понятие эластичности спроса раскрывает процесс адаптации рынка к изменению основных факторов (ценой товара, ценой товара аналога, дохода потребителя).
При подсчете коэффициента эластичности используют два основных метода:
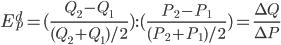
Эластичность по дуге (дуговая эластичность) – применяется при измерении эластичности между двумя точками на кривой спроса или предложения и предполагает знание первоначальных и последующих уровней цен и объемов рис. 29.1, ф-ла 29.1.
(29.1)
§
— начальная цена;
§
– новая цена;
§
– первоначальный объем;
§
– новый объем.

Рисунок 29.1 – Дуговая эластичность
Использование формулы дуговой эластичности дает лишь приблизительное значение эластичности, и погрешность будет тем больше, чем более выпуклой будет дуга АВ.
Эластичность в точке (точечная эластичность) — используется в том случае, когда задана функция спроса (предложения) и исходный уровень цены и величины спроса (или предложения). Данная формула характеризует относительное изменение объема спроса (или предложения) при бесконечно малом изменении цены (или какого-либо другого параметра) ф-ла 29.2.
(29.2)
где:
§
– производная функции спроса (или предложения) по цене;
§
– рыночная цена;
§
– величина спроса (или предложения) при данной цене
Пример
Условие: Пусть функция спроса имеет вид
.
Оценить эластичность спроса по цене, при цене
.
Решение:
§ Для подсчета коэффицента эластичности нам необходимо знать
и
.
§ При цене
. 
§ Первая производная функции спроса
.
§ Подставим полученные значения в формулу точечной эластичности и получим 
Ответ: Экономический смысл полученного значения заключается в том, что изменение цены на 1% относительно первоначальной цены P = 10 приведет к изменению величины спроса в противоположном направлении на 1%. Спрос характеризуется единичной эластичностью
Факторы влияния на эластичность спроса:
1 Наличие товаров-заменителей: чем их больше, тем эластичнее спрос. При этом следует заметить, что чем более агрегированный товар мы рассматриваем, тем относительно ниже эластичность. Так, на топливо для автомобилей вообще спрос может быть малоэластичен, а на отдельные сорта бензина – эластичен. Спрос на отдельные виды пищевых продуктов эластичен, а на сельскохозяйственные продукты в целом – малоэластичен. На товары, не имеющие заменителей (соль), спрос практически (при малом изменении цены) неэластичен.
2 Доля расхода на данный товар в бюджете потребителя: чем она больше, тем выше эластичность. Однако этот аргумент не является всегда абсолютно правильным. Конечно, если товар составляет значительную долю в общих тратах потребителя, небольшое изменение его цены вызовет относительно большее изменение реального дохода данного потребителя. Но это касается только абсолютных объемов. Если же говорить об относительном изменении в потреблении (а именно это мы и имеем в виду, говоря об эластичности), нет причины думать, что, например, относительное увеличение спроса на товар будет больше вследствие снижения его цены только потому, что расходы на него составляют значительную долю бюджета потребителя. В экстремальном случае, если расходы на данный товар составляют 100% бюджета, общая ценовая эластичность спроса не может быть большой и будет составлять примерно 1.
3 Степень необходимости данного товара: эластичность спроса ниже всего у тех товаров, которые с точки зрения данного потребителя являются для него полезными. Поэтому здесь для каждого существуют свои критерии: одни при повышении цен на сигареты откажутся от курения, другие – нет.
4 Разнообразие возможностей использования данного товара: чем больше направлений его использования, тем эластичнее спрос (спрос на универсальные станки более эластичен, чем на специализированные).
5 Время приспособления к изменению цены. Обычно экономисты оценивают эластичность спроса для кратковременного и долгосрочного периодов. Как правило, спрос более эластичен в долгосрочном плане, поскольку за это время могут быть найдены или даже освоены производством товары-заменители, изысканы также возможности для безболезненного сокращения потребления данного товара. Например, изобретение более экономичных двигателей для автомобилей привело к снижению потребности в бензине и, следовательно, к падению спроса на него.