Верно
Задание ¹ 147801
Длительность полного пути называется сумма продолжительности выполнения всех входящих в него операций
Ответ:
Неверно
Верно
Задание ¹ 147802
Назовите временные параметры событий сетевого графика
Ответ:
1. ожидаемый срок свершения операции
2. ожидаемый срок свершения событий
3. критический путь и критическое время
4. предельный срок свершения операции
5. предельный срок свершения события
Задание ¹ 147803
Определите критическое время данного сетевого графика

Ответ:
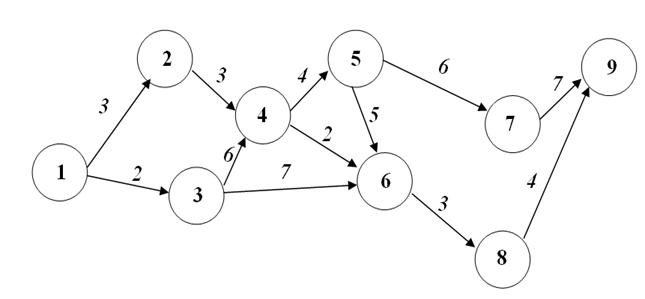
Задание ¹ 147804
Определите ожидаемый срок свершения 5 операции данного сетевого графика

Ответ:
Задание ¹ 147805
Определите ожидаемый срок свершения конечной операции данного сетевого графика

Ответ:
Задание ¹ 147806
Определите ожидаемый срок свершения 6 операции данного сетевого графика

Ответ:
Задание ¹ 147807
Определите критический путь данного сетевого графика

Ответ:
1. 1-2-7-8
2. 1-3-5-6-8
3. 1-2-5-6-8
4. 1-4-8
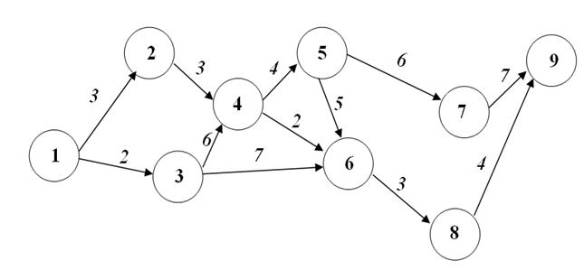
Задание ¹ 147808
|
|
|
Определите предельный срок свершения 2 операции данного сетевого графика

Ответ:
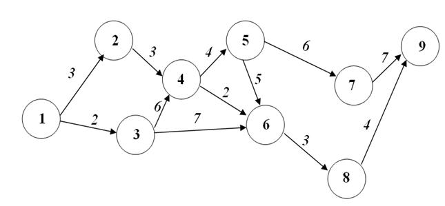
Задание ¹ 147809
Определите критическое время данного сетевого графика

Ответ:
Задание ¹ 147810
Определите ожидаемый срок свершения 6 операции данного сетевого графика

Ответ:
Задание ¹ 147811
Определите ожидаемый срок свершения конечной операции данного сетевого графика

Ответ:
Задание ¹ 147812
Определите критический путь данного сетевого графика

Ответ:
1. 1-2-4-5-7-8
2. 1-2-4-6-8-9
3. 1-2-4-5-6-8-9
4. 1-3-4-6-8-9
5. 1-3-4-5-7-9
Задание ¹ 147813
Определите предельный срок свершения 4 операции данного сетевого графика

Ответ:
Задание ¹ 147814
Какие из предложенных данных соответствуют данному сетевому графику, если НСО - начальное событие операции, КСО - конечное событие операции

Ответ:
1.
| НСО | |||||||||||||||
| КСО | |||||||||||||||
2.
| НСО | ||||||||||||||
| КСО | ||||||||||||||
3.
| НСО | ||||||||||||||
| КСО | ||||||||||||||
4.
| НСО | |||||||||||||||
| КСО | |||||||||||||||
5.
| НСО | |||||||||||||||
| КСО | |||||||||||||||
Задание ¹ 148343
|
|
|
Сетевое планирование и управление предназначено для логического отображения взаимосвязей между операциями при исследовании работы изучаемого объекта
Ответ:
Неверно
Верно
Задание ¹ 209671
Назовите типы транспортных задач
Ответ:
1. неоптимальные
2. открытые
3. закрытые
Задание ¹ 209677
Каких типов операции или работы сетевых графиков не существуют
Ответ:
1. действительные
2. мнительные
3. операции ожидания
4. фиктивные операции
5. промежуточные
Задание ¹ 209682
Рассчитайте оценку свободной ячейки для A3B1
| Поставщик | Потребитель | Uj | |||
| B1 | B2 | B3 | B4 | ||
| A1 | 100 5 | 150 5 | - 5 | 50 7 | u1=0 |
| A2 | - 3 | - 8 | 200 2 | - 5 | |
| A3 | - 8 | - 4 | 100 5 | 100 6 | |
| Vi |
Ответ:
Задание ¹ 209687
Рассчитайте оценку свободной ячейки для A1B3
| Поставщик | Потребитель | Uj | |||
| B1 | B2 | B3 | B4 | ||
| A1 | 100 5 | 150 5 | - 5 | 50 7 | |
| A2 | - 3 | - 8 | 200 2 | - 5 | u2=0 |
| A3 | - 8 | - 4 | 100 5 | 100 6 | |
| Vi |
Ответ:
-1
Задание ¹ 209688
Назовите, какой метод применяется для построения первого опорного плана транспортных задач
Ответ:
1. метод северо-восточного угла
2. метод наибольшей стоимости
3. метод северо-западного угла
4. метод наискорейшей доставки
Задание ¹ 209689
Назовите, какой метод применяется для построения первого опорного плана транспортных задач
Ответ:
1. метод северо-восточного угла
2. метод наибольшей стоимости
3. метод наименьшей стоимости
4. метод наискорейшей доставки
Задание ¹ 209692
Рассчитайте оценку свободной ячейки для A3B2
| Поставщик | Потребитель | Uj | |||
| B1 | B2 | B3 | B4 | ||
| A1 | 100 5 | 150 5 | - 5 | 50 7 | |
| A2 | - 3 | - 8 | 200 2 | - 5 | |
| A3 | - 8 | - 4 | 100 5 | 100 6 | u3=0 |
| Vi |
Ответ:
Задание ¹ 209694
Рассчитайте оценку свободной ячейки для A3B1
| Поставщик | Потребитель | Uj | |||
| B1 | B2 | B3 | B4 | ||
| A1 | 178 5 | 179 5 | - 5 | 70 7 | |
| A2 | - 3 | - 8 | 211 2 | - 5 | |
| A3 | - 8 | - 4 | 120 5 | 110 6 | |
| Vi | v2=0 |
Ответ:
Задание ¹ 209698
Рассчитайте оценку свободной ячейки для A2B2
| Поставщик | Потребитель | Uj | |||
| B1 | B2 | B3 | B4 | ||
| A1 | 100 5 | 150 5 | - 5 | 50 7 | |
| A2 | - 3 | - 8 | 200 2 | - 5 | |
| A3 | - 8 | - 4 | 100 5 | 100 6 | |
| Vi | v3=0 |
Ответ:
Задание ¹ 209700
Рассчитайте совокупные затраты потребителей
| Поставщик | Потребитель | |||
| B1 | B2 | B3 | B4 | |
| A1 | 125 4 | - 5 | - 8 | 85 7 |
| A2 | - 3 | 45 8 | 150 5 | - 5 |
| A3 | - 8 | - 4 | 141 6 | 90 6 |
Ответ:
Задание ¹ 209704
Сетевой график не должен содержать несколько контуров
Ответ:
Неверно
Верно






