III. Исходя, из структуры ремонтного цикла
определим количество видов ремонта – 6шт и осмотров – 6шт, а именно:
Капитальный ремонт – 1шт
Средний ремонт – 1шт
Текущий ремонт – 4шт
Осмотры – 6шт
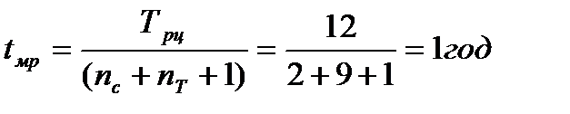
IV.Определение продолжительности межремонтного межосмотрового периода
по формуле:

Список литературы позволит подготовиться по ПМ02
1.Сибикин М.Ю. Технологическое оборудование: Учебник. – М.: ФОРУМ: ИНФРА-М, 2005. – 400 с. – (Профессиональное образование)
2.Чернов Н.Н. Технологическое оборудование (металлорежущие станки): учеб. Пос. / Н.Н. Чернов. – Ростов н/Д: Феникс, 2009. – 491 [1] с. – (Серия «СПО»).
3.Власов С.Н., Годович Г.М., Черпаков Б.И. Устройство, наладка и обслуживание металлообрабатывающих станков и автоматических линий: Учебник для техникумов. – 2-е изд., перераб. И доп. – М.: Машиностроение, 1995. – 464 с.: ил.
4. Воронкин Ю.Н., Поздняков Н.В. Методы профилактики и ремонта промышленного оборудования: Учебник для студентов учреждений среднего профессионального образования. – 3-е изд., стер. – М.: Академия, 2008. – с. 240






