Лекция 4.
При выборе насосов для заданных условий работы помимо гидравлических должны быть учтены также, в качестве основных, и экономические требования. Они заключаются в том, чтобы выбранный насос и приводной двигатель имели приемлемую стоимость и высокий КПД.
Подобрать насос для работы на заданную систему (сеть, трубопровод) - значит обеспечить выполнение следующих условий.
1. Подача выбранного насоса должна соответствовать расходу жидкости в системе QH = Qc.
2. Напор насоса должен соответствовать необходимому напору в сети при заданном расходе QC(HH = Нс).
3. Насос должен работать с КПД, установленным ГОСТом.
Поскольку по напорной характеристике Q — Н насоса заранее установить с какими фактическими параметрами будет работать насос для заданного трубопровода невозможно, то для решения задачи подбора насоса для заданных условий работы необходимо располагать не только рабочими характеристиками насоса, но и характеристикой системы (сети, трубопровода), на которую будет работать насос.
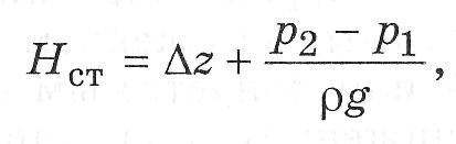
Характеристикой системы (сети) называют зависимость между напором Нс и расходом в сети QC(HC = f(Qc)). В общем виде уравнение напорной характеристики сети запишется так:

где Н — статический напор в сети

∆z - полная геометрическая высота подъема жидкости; р1, р2 — давление в начале и в конце сети; kTpQo2 — сумма гидравлических потерь в сети; kтр — сопротивление трубопровода; Q0 — расход в сети.
Эта характеристика изображается в виде параболы, которая выходит из точки, лежащей на оси ординат и отстающей от начала координат на величину Нст,, где Hcт — статический напор при Q = 0 (рис. 4.1).

Рис. 4.1. Характеристика насоса и системы (сети).
Насос выгодно эксплуатировать только в области высоких КПД и больших высот всасывания, поэтому при подборе насосов используется не вся характеристика насоса, а только ее часть, лежащая в зоне допустимого по сравнению с максимальным снижения КПД. Такая часть характеристики называется рабочим участком (участок АВ).
Начало рабочего участка характеристики (минимальная подача QA) определяется допустимым снижением КПД, а конец (максимальная подача QB) - или допустимым снижением КПД, или (чаще) допустимым понижением кавитационного запаса (уменьшением высоты всасывания).
При наличии характеристики Q — Н насоса и характеристики сети для установления фактических параметров насоса можно использовать два способа: 1) аналитический; 2) графический.
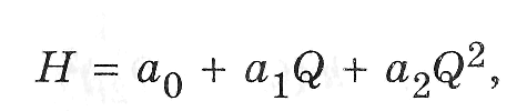
Первый способ заключается в совместном решении Q— Н характеристик насоса и сети. Е. А. Прегер на основании анализа Q— Н характеристик большого числа насосов составил уравнение, дающее аналитическую зависимость между Q и Н:

где а0, а1, а2 — постоянные коэффициенты.
Второй более простой и наглядный способ — совмещение графиков характеристик Q — Н насоса и сети, выполненных в одних и тех же координатах (рис. 4.1). Точка пересечения характеристик Q — Н насоса (если она имеет место) называется режимной. Координаты этой точки определяют режимные параметры выбранного насоса (Нр, Qр, ηр) при его работе на заданную систему.