Принудительное изменение параметров насоса в соответствии с потребностями сети называется регулированием работы, насоса.
Регулирование работы центробежных насосов. Поскольку режимные параметры работы насоса на заданную систему (сеть) определяются положением точки пересечения кривых характеристик насоса и сети, для изменения режимных параметров насоса необходимо изменить место положения этой точки. Следовательно, чтобы изменить режим работы насоса (изменить режимные параметры), необходимо изменить характеристику насоса или характеристику системы (сети).
Регулирование может осуществляться за счет воздействия на элементы сети (с изменением характеристики сети) или за счет воздействия на насос (с изменением формы характеристики и ее положения). Практически существует два способа воздействия на элементы сети:
· введение в состав сети дополнительного гидравлического сопротивления;
· введение в состав сети перепускного патрубка.
Способ регулирования, при котором в сеть вводится дополнительное гидравлическое сопротивление, называется дросселированием. В качестве дополнительного гидравлического сопротивления используется изменение степени открытия задвижки на выходе из насоса. Если характеристика сети до регулирования (введения дополнительного сопротивления) имеет вид
|
|
|

то после введения дополнительного сопротивления она будет иметь следующий вид:

или

где k3 — коэффициент местных потерь задвижки; ∑h1 — потери напора при регулируемой подаче; h3 — потери напора на задвижке.
Так как при дроссельном регулировании не весь напор, создаваемый насосом, полезно используется в сети, то КПД насосной установки уменьшается от η до η iр.
Дроссельное регулирование экономически невыгодно, но поскольку такое регулирование очень просто осуществимо с технической точки зрения, то оно получило широкое распространение для регулирования малых и средних насосов.
При введении в состав системы (сети) перепускного патрубка перепускную линию необходимо рассматривать как дополнительную часть сети с сопротивлением R2, присоединенную параллельно основной сети с сопротивлением R1 (рис. 4.2).

Рис. 4.2. Регулирование перепуском
При открытии задвижки на перепускной линии часть жидкости насоса перетекает из напорной во всасывающую линию.
Первоначальная характеристика сети
изменится и будет иметь вид

или, введя обозначение

можно получить

где kр — сопротивление сети при расходе (QT – Qп); kп — сопротивление перепускной линии; Qп — расход жидкости через перепускную линию.
Положение кривой характеристики сети с открытой перепускной линией изменится и вместо рабочей точки А1 появится новая точка А2. Напор при этом снизится с Н1 до Н2, а подача насоса через основную сеть будет
|
|
|

Такой способ регулирования приемлем для лопастных насосов с ns > 250 и для вихревых насосов, у которых потребляемая мощность падает с увеличением подачи насоса. Для центробежных насосов с ns < 250 регулирование перепуском вызывает увеличение потребляемой мощности.
Для изменения характеристики центробежного насоса теоретически существует несколько способов: изменение частоты вращения колеса; изменение числа совместно работающих насосов.
Для регулирования подачи насоса изменением частоты вращения рабочего колеса необходимы приводные двигатели с переменной частотой вращения (электродвигатели постоянного тока, двигатели внутреннего сгорания, турбины).
Изменение частоты вращения рабочего колеса ведет к изменению скорости выхода жидкости из колеса и, следовательно, к изменению напорной характеристики насоса. Измененная характеристика при неизменной характеристике сети обеспечит новые режимные параметры.
При изменении частоты вращения рабочего колеса одновременно с изменением напорной характеристики насоса перемещается и максимум энергетической характеристики Q—η, а максимальное значение КПД остается практически неизменным. Поэтому регулирование работы насоса путем изменения частоты вращения его колеса более экономично, чем регулирование путем дросселирования даже при использовании дополнительных устройств для регулирования частоты вращения асинхронных двигателей переменного тока.
Изменение числа совместно работающих насосов возможно в тех случаях, когда насосная установка состоит из двух и более насосов, работающих совместно на систему (сеть). Регулирование подачи насоса при параллельной работе двух и более совместно работающих насосов осуществляют путем выключения из работы включения в работу) одного или более насосов. Такой способ удобен, но он дает скачкообразное изменение подачи. Однако его объединение с дросселированием расширит диапазон регулирования.
Регулирование объемных насосов. Регулирование подачи роторных насосов (при неизменной частоте вращения вала насоса) осуществляется двумя способами:
1) с помощью переливного (перепускного) клапана;
2) изменением рабочего объема насоса.
При первом способе клапан устанавливают параллельно насосу, так что часть его подачи через этот клапан может возвращаться во всасывающий трубопровод (рис. 4.3, а). Пока давление насоса рн меньше давления открытия клапана ркл, при этом клапан закрыт (рн < ркл)- Давление открытия клапана ркл регулируется изменением усилия пружины Fпр.

Рис. 4.3. Регулирование подачи перепускным клапаном
Когда давление насоса становится равным давлению открытия клапана (рн = ркл), клапан начинает открываться и степень его открытия будет увеличиваться по мере увеличения давления насоса рн (это возможно при уменьшении расхода жидкости в системе). При этом все большая часть подачи насоса возвращается через клапан во всасывающую линию, следовательно, подача в систему будет

где QH — идеальная подача насоса; qkji — расход жидкости через клапан; qу — расход утечек жидкости в насосе.
На рис. 4.3, б показаны характеристики роторного насоса с переливным клапаном. На участке АВ (А1В1, А2В2) клапан закрыт (рн <ркл), точка В означает открытие или закрытие клапана (рн = ркл) на участке ВС (В1С1, В2С2), который можно считать прямым, часть подачи насоса переливается через клапан, а в точке С вся подача насоса возвращается обратно на вход.
Очевидно, что первый способ регулирования подачи неэкономичен, так как часть мощности, развиваемой насосом (а в точке С вся мощность), теряется в клапане. Способ применяется на шестеренных, винтовых и других насосах с неизменным рабочим объемом и небольшой мощности.
|
|
|
При втором способе изменяют величину рабочего объема насоса. Этот способ является более экономичным по расходу энергии, но возможен у насосов, содержащих дополнительные технические устройства, и, следовательно, более дорогих.
Регулирование подачи изменением рабочего объема возможно в шиберных (пластинчатых), аксиально- и радиально-поршневых роторных насосах однократного действия.
Для пластинчатых и радиально-поршневых насосов подачу регулируют путем изменения эксцентриситета ротора (рис. 4.4), для аксиально-поршневых — путем наклона ротора или диска (рис. 4.5, 4.6).

Рис. 4.4. Регулирование подачи изменением эксцентриситета ротора:
1 — корпус колеса; 2 — направляющие; 3 — силовой цилиндр

Рис. 4.5. Регулирование подачи изменением угла наклона ротора (блока цилиндров).
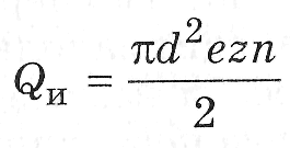
Из выражения для средней индикаторной подачи радиально-поршне-вого роторного насоса

следует, что подача помимо других факторов зависит от величины эксцентриситета е оси ротора относительно оси корпуса. Следовательно, изменение величины этого параметра приведет к изменению величины подачи.
Величина средней подачи аксиально-поршневого насоса находится в прямой зависимости от угла наклона ротора β (для насоса с наклонным ротором) или угла наклона диска β(для насоса с наклонным диском)

где 2R cosβ = h — ход поршня.
Из выражения следует, что изменение угла наклона приводит к изменению хода поршня и, как следствие, к изменению величины подачи насоса.

Рис. 4.6. Регулирование подачи изменением угла наклона диска