Определение мест повреждения наружных покровов оптических кабелей связи с высокой точностью осуществляется с поверхности земли с помощью кабелеискателей, искателей мест понижения изоляции и т.п. Поэтому особых требований к погрешности измерений расстояния до места повреждения наружных покровов оптических кабелей не предъявляется. Достаточно определить зону повреждений. При этом предварительно определяется участок КИП-КИП, на котором имеет место повреждение. А затем измеряется расстояние от ближайшего КИП до места повреждения.
Расстояние от КИП до места повреждения измеряется методами рефлектометрии приборами типа Р5-10, Р5-12 и их аналогами. Затем место обрыва цепи «металлические покровы-земля» уточняется с помощью кабелеискателя. Принципы работы с ка- белеискателем описаны в разделе 10.6.3.
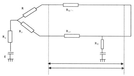
Цля измерения расстояния до мест понижения изоляции металлических покровов оптических кабелей относительно земли используют следующие способы. В случае, когда кабель имеет в составе сердечника металлические элементы (например центральный силовой элемент - ЦСЭ), применяют мостовые методы. Поскольку высоких требований к точности измерений не предъявляется, используют упрощенные варианты схем, допускающие постоянство параметров цепи «металлические покровы - земля» вдоль линии. Схема измерений приведена на рис. 10.42 /20/.

Рисунок 10.42. Эквивалентная схема измерений расстояния
до места понижения изоляции шланга мостом
с переменным отношением плеч
Здесь: Rцс7 - сопротивление ЦСЭ на длине I; Rоб - сопротивление металлических покровов на длине I; lх - расстояние до места повреждения l - длина поврежденного участка; l - lх - расстояние после повреждения.
Расстояние до места повреждения определяется формулой
(10.43)
где Rцсэ - сопротивление цепи центральный силовой элемент - металлическая оболочка.
- отношение постоянного плеча моста к переменному
l - длина измеряемой линии.
Погрешность измерения порядка 5..10% от длины участка, на котором осуществляется поиск. При расстояниях между контрольно-измерительными точками до 8.. 16 км она составляет 0,4.. 1,6 км.
Подавляющее большинство оптических кабелей, применяемых на сетях связи, не имеют металлических элементов в сердечнике. В этом случае может быть использована схема, представленная на рисунке 10.43 [25].
|
Рис. 10.43 Схема для определения расстояния до места
повреждения изоляции методом измерения падения
напряжения на металлических покровах кабеля
Расстояние до места повреждения lх определяется по формуле:
(10.44)
где 
Rма — сопротивление миллиамперметра
Rо6 — сопротивление металлических покровов (вычисленное или паспортные значение для данного типа кабеля).
Показания вольтметров UА и UБ снимают при IА = IБ. Миллиамперметры в пунктах А и Б должны быть идентичными. Потенциометры в пунктах А и Б должны иметь одинаковое количество множителей (х 10, х 1, х 0,1, х 0,01) для уменьшения погрешностей. Данный метод дает погрешность до 10.. 15% от длины участка, на котором выполняются измерения. При расстояниях между контрольно-измерительными точками до 8.16 км это составляет 0,8..2,4 км.
Известен способ приближенной оценки участка с повреждением изолирующих покровов, базирующийся на принципах теории вероятностей и теории информации /17/. Здесь допускается, что
-расстояние до места повреждения есть величина случайная;
-повреждение изолирующих покровов кабеля носит локальный характер;
-цепь «металлические покровы - земля» - однородная, ее параметры постоянны по длине линии.
Вводятся следующие обозначения.
RI - сопротивление изоляции шланга на исследуемом участке до повреждения (определяется из паспорта участка по данным контрольных измерений), МОм.км;
RL - сопротивление изоляции шланга при повреждении изолирующих покровов кабеля на исследуемом участке, Мом/км;

L - протяженность кабеля на исследуемом участке, км;
LX - прогнозируемое расстояние от конца участка, с которого производится измерение, до места повреждения, км;
LA; LB - оценки величины км;
РA - вероятность события 0 < LX < LA
РB - вероятность события LB < LX < L
РАВ - вероятность события LA < LX < LB;
H(P) - энтропия.

Энтропия рассчитывается по формуле
(10.45)
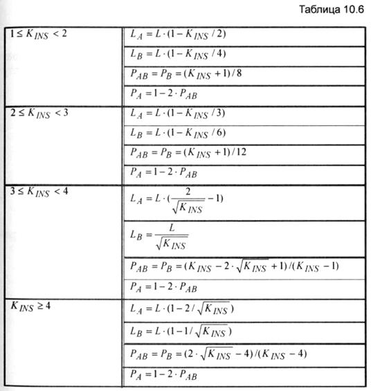
Порядок определения зоны, в пределах которой имеет место повреждение шланга кабеля, следующий. По результатам измерений сопротивления изоляции наружных покровов кабеля относительно земли определяют параметр КINS В зависимости от значения параметра по формулам из таблицы 10.6 рассчитываются значения LА,LВ,РА,РВ, РАВ
Затем определяются значения энтропии из соотношений
НА=Н(РА)
НАВ=Н(РАВ)
НХ=НА+2 НАВ
Затем находят прогнозируемые интервал длины линии, в пределах которого имеет место повреждение, и ближайшую к месту повреждения оценку из следующих соотношений

Выбор прогнозируемой зоны поиска места повреждения вероятностным методом поясняет рис. 10.44

Рис. 10.44 Выбор прогнозируемой зоны поиска