К функционально-технологическим свойствам относят влагосвязывающую, влагоудерживающую, жироудерживающую, гелеобразующую способность.
На практике определение влагосвязывающей способности чаще всего проводят с помощью метода прессования или центрифугирования.
Метод прессования основан на выделении воды испытуемым образцом при лёгком его прессовании, сорбции выделяющейся воды фильтровальной бумагой и определении количества отделившейся влаги по площади пятна, оставляемого ею на фильтровальной бумаге. Достоверность результатов обеспечивается трёхкратной повторностью определений.
Метод центрифугирования основан на выделении жидкой фазы под действием центробежной силы из исследуемого объекта, находящегося в фиксированном положении. Количество последней зависит от степени взаимодействия влаги с «красной фазой» объекта. Метод условен. Достоверность результатов может быть обеспечена при трёх - четырёхкратной повторности определений.
Влагоудерживающая способность сырья определяется как разность между массовой долей влаги в продукте и количеством влаги, отделившейся в процессе термической обработки, а жироудерживающая способность – как разность между массовой долей жира в продукте и количеством жира, отделившемся в процессе термической обработки.
|
|
|
Отношение объёма эмульгированного масла к общему его объёму в системе называют эмульгирующей способностью. В это определение входит и понятие стабильности эмульсии, проявляющейся за промежуток времени, начиная от окончания эмульгирования до момента измерения при фиксированных условиях проведения эксперимента.
Жироудерживающую способность рассчитывают после определения ВВС и высушиванием остатка продукта до постоянной массы. Жироудерживающую способность определяют по коэффициенту, определенному рефрактометрически или методом Сокслета.
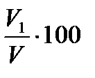
Эмульгирующую способность определяют после суспензирования навески продукта в 100 см3 воды в гомогенизаторе или миксере, добавляя затем рафинированное подсолнечное масло и эмульгируют в гомогенизаторе. Эмульгирующую способность определяют по формуле:
ЭС =
, (3.11)
где V1 – объём эмульгированного масла, см3;
V – общий объём масла, см3.
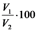
Стабильность эмульсии определяют путём нагревания при температуре 80оС в течение 30 мин и охлаждения водой в течение 15 мин. Затем заполняют эмульсией 4 калиброванные центрифужные пробирки вместимостью по 50 см3 и центрифугируют при частоте вращения 500с-1 в течение 5 мин. Далее определяют объём эмульгированного слоя.
Стабильность эмульсии (%) рассчитывают по формуле
СЭ =
, (3.12)
где V1 – объём эмульгированного масла, см3;
V2 – общий объём эмульсии, см3.






