1. МЕТОД ИНВЕРСИВНОЙ ГЕОМЕТРИИ. Помещаем в заданную точку пустыни клетку, входим в нее и запираем изнутри. Производим инверсию пространства по отношению к клетке. Теперь лев внутри клетки, а мы – снаружи.
2. МЕТОД ПРОЕКТИВНОЙ ГЕОМЕТРИИ. Без ограничения общности мы можем рассматривать пустыню Сахара как плоскость. Проектируем плоскость на линию, а линию – в точку, находящуюся внутри клетки. Лев проектируется в ту же точку,
3. МЕТОД БОЛЬЦАНО – ВЕЙЕРШТРАССА. Рассекаем пустыню линией, проходящей с севера на юг. Лев находится либо в восточной части пустыни, либо в западной. Предположим для определенности, что он находится в западной части. Рассекаем ее линией, идущей с запада на восток. Лев находится либо в северной части, либо в южной. Предположим для определенности, что он находится в южной части, рассекаем ее линией, идущей с севера на юг. Продолжаем этот процесс до бесконечности, воздвигая после каждого шага крепкую решетку вдоль разграничительной линии. Площадь последовательно получаемых областей стремится к нулю, так что лев в конце концов оказывается окруженным решеткой произвольно малого периметра.
|
|
|
4. КОМБИНИРОВАННЫЙ МЕТОД. Заметим, что пустыня представляет собой сепарабельное пространство. Оно содержит всюду плотное множество точек, из которого мы выбираем последовательность точек, имеющих пределом местоположение льва. Затем по этим точкам, захватив с собой необходимое снаряжение, крадучись, подбираемся к льву.
5. ТОПОЛОГИЧЕСКИЙ МЕТОД. Заметим, что связность тела льва во всяком случае не меньше, чем связность тора. Переводим пустыню в четырехмерное пространство. Согласно работе [1], в этом пространстве можно непрерывным образом выполнить такую деформацию, что по возвращении в трехмерное пространство лев окажется завязанным в узел. В таком состоянии он беспомощен.
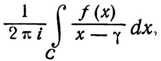
6. МЕТОД КОШИ, ИЛИ ФУНКЦИОНАЛЬНО-ТЕОРЕТИЧЕСКИЙ. Рассмотрим льва как аналитическую функцию координат f(x) и запишем интеграл

где С – контур, ограничивающий пустыню, а у – точка, в которой находится клетка. После вычисления интеграла получается /(у), то есть лев в клетке.






