(Длинное письмо в редакцию)
Paнee было высказано мнение, что система дверных ключей в нашем институте сложнее, чем теория поля. Это явное извращение фактов, и чтобы его опровергнуть, в настоящем сообщении мы излагаем упрощенную теоретическую схему, на основе которой создавалась эта система.
Начнем с определений.
Ключ состоит из стержня, на котором укреплены штифты.
Замок состоит из щели с отверстиями, расположенными соответственно позициям штифтов на стержне ключа. Кроме того, в замке имеется система рычажков, находящихся позади отверстий (см. рисунок).
Введем теперь следующие три аксиомы:
1. Штифты поворачивают рычажки; для того чтобы замок открылся, все рычажки в замке должны быть повернуты.
2. Если в данной позиции нет штифта, отверстия или рычажка, мы будем говорить в дальнейшем о наличии в данной позиции антиштифта, антиотверстия или антирычажка соответственно.
3. Ни в одном замке нет рычажков за антиотверстиями, ибо такой замок нельзя было бы открыть.
Пусть штифты, отверстия и рычажки описываются значением 1 переменных аi-, bi и сi соответственно. Индекс i – номер позиции. Антиштифты, антиотверстия и антирычажки соответствуют значению 0 тех же переменных.
|
|
|
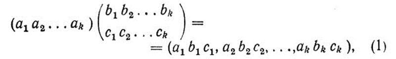
Определим теперь матричное умножение следующим способом:

где символическое произведение аbс = а, если одновременно c<b и а>с, в противном случае abc = 1 – a. Отсюда следует, что если (а1, а2…a в степени k) есть собственный вектор оператора

то ключ может отпереть замок.
Используя этот формализм, легко найти полное число ключей, которые открывают данный замок (b/c). Оно равно а число замков, которые могут быть открыты данным ключом (а), равно

а число замков, которые могут быть открыты данным ключом (а), равно

При получении этих выражений учитывался тот факт, что замок (O/O) есть тривиальный антизамок. В уравнениях (2) и (3) k есть сумма коэффициентов Клебша – Гордана, равная единице.
Развитый выше формализм позволил решить следующую задачу. Пусть некто хочет пройти из некоторой комнаты Л через несколько дверей в произвольную комнату В. Число ключей, необходимое для этого, максимизировалось при произвольном выборе комнат А и В. (Проблема минимизации не решалась, поскольку ее решение тривиально – одинаковые замки.) Затем сотрудники института были разбиты на ряд подгрупп, и система ключей строилась таким образом, чтобы одновременно выполнялись два условия::
1) ни одна подгруппа не в состоянии открыть все те замки, которые могут быть открыты любой другой подгруппой;
2) трансформационные свойства групп соответствуют возможности одалживания ключей.
Создатели системы ключей надеялись, что она является единственно возможной и полной, и до известной степени это справедливо. Однако оказалось, что ключи, которые не должны были бы открывать некоторые двери, открывают их, если их вставлять в замок не до конца. Например, ключ (11111) может открыть замок (10000/ 11111) в п = 5 различных положениях. Число n было названо странностью системы ключ – замок. Экспериментальными исследованиями было найдено, что наша система ключей является весьма странной. Однако этот недостаток можно исправить, если потребовать для последней позиции соблюдения равенств ak = bk = Ck = 1. Будем надеяться, что при ближайшем пересмотре системы ключей в нее будет внесено это исправление.
|
|
|
На отмычки настоящее исследование не распространяется.
Автор выражает благодарность сотрудникам, работающим в разных группах, за горячее обсуждение затронутых проблем.

Номограмма распределения времени на разных стадиях научной карьеры.
Пример применения: отрезки горизонтальной пунктирной линии показывают, что молодые специалисты тратят время в основном на работу; на конференции и лекции времени остается мало.






