Показатели ликвидности предприятия предназначены для прогнозирования платежеспособности предприятия или организации с учетом своевременных расчетов с дебиторами.
К показателям ликвидности относятся: 1) общий коэффициент ликвидности, характеризующий достаточность оборотного капитала у предприятия, используемого для погашения своих краткосрочных обязательств (рекомендуемое значение – от 100 до 200 %):

2) коэффициент абсолютной ликвидности, характеризующий, какая часть краткосрочных обязательств может быть погашена на конкретную дату только за счет денежных средств на счетах предприятия (рекомендуемое значение от 10 до 30 %):

3) коэффициент срочной ликвидности, характеризующий возможность предприятия погасить свою краткосрочную задолженность в ближайший период времени (рекомендуемое значение от 20 до 40 %):

4) коэффициент ликвидности средств в обращении, характеризующий, какая часть краткосрочных обязательств может быть погашена при условии востребования с дебиторов всей суммы задолженности и за счет денежных средств:
|
|
|

При исследовании финансовой устойчивости и платежеспособности предприятий и организаций особое внимание уделяется анализу показателей оборачиваемости краткосрочных активов, к которым относятся:
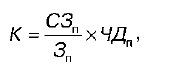
1) показатель длительности оборота запасов за период (в днях), увеличение которого характеризуется как негативная тенденция:

где СЗ п – средняя стоимость запасов за период;
З п – затраты на производство товаров, продукции, работ, услуг;
ЧД п – число дней в периоде;
2) показатель среднего срока погашения краткосрочной дебиторской задолженности (в днях), увеличение которого характеризуется как негативная тенденция:

где КДЗ п – средняя краткосрочная дебиторская задолженность за период;
Вп – выручка от продаж;
3) показатель среднего срока погашения краткосрочной кредиторской задолженности (в днях):

где ККЗ п – средняя краткосрочная кредиторская задолженность за период.
При рассмотрении показателей ликвидности необходимо учитывать тот факт, что основным условием их расчета является мгновенная способность организации или предприятия погасить свои задолженности.






