1. Ознакомиться с лабораторным стендом и выбрать необходимые измерительные приборы и электрооборудование.
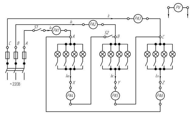
2. Собрать электрическую цепь (рис. 4.1) и после проверки ее преподавателем записать паспортные данные используемых приборов в таблицу.
3. Исследовать работу цепи, состоящей из трехфазной симметричной активной нагрузки, соединенной треугольником, в режимах:
а) номинальном;
б) при отключении нагрузки в одной из фаз;
в) при обрыве линейного провода (аварийный режим).
4. Исследовать работу цепи, состоящей из трехфазной несимметричной активной нагрузки, соединенной треугольником в режимах:
а) номинальном;
б)при отключении нагрузки в одной из фаз;
в)при обрыве линейного провода (аварийный режим).
5. НИРС. Исследовать работу цепи, состоящей из трехфазной несимметричной разнохарактерной нагрузки, соединенной треугольником.

Рис. 4.1. Принципиальная электрическая схема для исследования трехфазной системы нагрузок, соединенных треугольником






