Расчет производим аналогично расчету первой линии.
Участок 5-4



Участок 3-4
Так как Р5>Р6 , т.е. 20>1 в 20 раз. Поэтому значение ΔР6 принимаем из таблицы 15.7 /2/.



Участок ТП-3



Линия 3
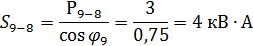
Участок 9-8



Участок 8-7



Участок ТП-7



Линия 4
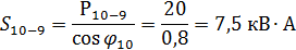
Участок 10-9



Участок ТП-9









