Перед расчетом заземляющего устройства устанавливаются исходные данные для проектирования: удельное сопротивление грунта, длина профиля вертикального электродов (круглые стержни, труба или уголок), размеры площадки для сооружения заземляющего устройства и расположение электродов на ней (в ряд, по замкнутому контору), значение сопротивлений заземлителя
и повторных заземления в сети
и др.
Расчёт заземляющих устройств ведут в следующем порядке:
1.Устанавливается необходимое для ПУЭ допустимое сопротивление заземляющего устройства
если заземляющее устройство является общим для нескольких электроустановок, то расчётным сопротивлением заземляющего устройства является наименьшим из требуемых.
2.Определяется необходимое сопротивление искусственного заземлителя
с учётом использования естественного заземлителя
, а также эквивалентного повторного заземлителя
, включенных параллельно, из выражения
(54)
При этом сопротивление искусственного заземления
не должно быть больше величин, приведённых выше, с учётом повышающих коэффициентов для грунтов с большим удельным сопротивлением.
3. Определяется расчётное удельное сопротивление грунта с учётом повышающих коэффициентов, учитывающих высыхание грунта летом и промерзания зимой.
Средние данные сопротивления грунтов и рекомендуемые для предварительного расчёта смотрите в таблице 7.1
При курсовом дипломном проектировании значение повышающих коэффициентов, К для третей климатической зоны (зоны Беларуси) могут быть приняты:
- для стержневых электродов длиной 2…3 м и с глубиной заложения их вершин 0,5…0,8 м - 1,4…1,6;
-для протяжных горизонтальных электродов и с глубиной заложения их 0,8 м – 2,0…2,5.
Расчётное удельное сопротивление грунта определяется зависимостью
(55)
где
- значение удельного сопротивления грунта по таблице, К – повышающий коэффициент.
Таблица 25 - Удельное сопротивление грунта
| Грунт | Удельное сопротивление Ом*м | Грунт | Удельное сопротивление Ом*м |
| Глина Глина каменистая Земля садовая Известняк Лёсс Мертель Песок мелкий | Песок с валунами Скала Суглинок Супесь Торф Чернозём Вода грунтовая |
Рисунок 36 - Графики для определения коэффицентов экранирования стержневых заземлений (а) и полосы связи (б).
1. Определяет сопротивление растеканию тока вертикального электрода по формуле:
(56)
где
- значение удельного сопротивления грунта, Ом*м;
k- числовой коэфицент вертикального заземлителя: для круглых стержней и труб k=2, для уголков k=2.1;
L- длина электрода, м;
d-внешний диаметр трубы или диаметр стержня, а для уголка- ширина полки, м;
- глубина заложения, равно расстоянию от поверхности земли до середины трубы или стержня, м.
- (обычно 2…5 м) hср=hch+(Lв/2) (57)
Глубина заложения до поверхности земли (0,5…0,8 м)
Для приближенных расчетов значения можно определить по формуле:
Rв=рр.н/Lв (58)
2. определяют сопротивление горизонтального заземлителя (полосы связи) по формуле:
Rr=0,336*ррасч.*Ln(kL2/dh)/L (59)
где L-длина горизонтального заземлителя, м;
k- коэфицент формы горизонтального заземлителя: - для круглого сечения k=1, для прямоугольного k=2;
мм, или уголок lв=2,5 м 40х40х4 R=31,2 Ом- примерно сопротивление одного повторного заземлителя из стали, тогда подсчитаем количество к.з на ВЛ и рассчитываем общее сопротивление всех повторных заземлителей:
rп.1=Rп.1/n- R0/n (60)
7. Определяем теоретическое число вертикальных заземлителей
nr=R0/rквк (61)
8. Определяю действительное число стержней с учетом полосы связи
nз=R0ηr/η0[1/(rков ηr)-l/Rr] (62)
где ηв- коэффициент экранирования вертикальных электродов; ηr – коэффициент экранирования горизонтальных электродов;
Эти коэффициенты определяют по рисункам в зависимости от числа вертикальных заземлителей и отношения а/1 (а=1/n –расстояние между стержнями, м; l-периметр заземлительного контура полосы связи, м).
Если по формуле получают nз ≤ nr, то для выполнения заземления принимают число стержней, равное nr; если получают nз ≥ nr, то для монтажа принимают nз стержней, находят значение коэффициентов экранирования ηв и горизонтальных ηr заземлителей при nз стержней и новом значении а. после чего проводят проверочный расчет.
По значению nз находят η0 и определяют расчетное сопротивление заземляющего устройства:
rрасч, = Rв/(nз η/в)
(63)
Если rрасч ≥ rиск. , то на этом расчете заканчивают.
Если rрасч > rиск. , то увеличивают число стержней, пока rрасч не станет равным rиск. или меньше его
В электроустановках с большими токами замыкания на землю заземлителя проверябт на термическую устойчивость, при протекании тока замыкания на замлю I1 который принемается равным установившимся току однофазным короткого замыкания I1 ∞. Проверку на термическую устойчивость проверяют по условию:
(64)
Где
- сумарноя поверхность вертикальных заземлителей, м
- примерное время короткого замыкания, с.
Наименьшее допустимое сечение полосы связи и полос для выравнивания потенциала (мм2) определяют по формуле:
(65)
Где С- термический коэффициент (для стали С=70). F0 для уголков
= 2πl (В+b-d) для круглых стержней
= nπdl (где n-число заземлителей; В и b- ширина большей и меньшей полок уголка, d- толщина полки уголка (диаметр круглого стержня).
Ток замыкания на землю в системах 6 … 35 кВ с изолированной нейтралью определяют по формуле:
I2 =Uн(Iв+35 Iк)/350 (66)
Где Uн - номинальное напряжение сети, кВ; Iк, Iв- длина электрически связанных воздушных и кабельных линий, включая ответвления, км.
В результате расчета заземляющего устройства в проекте должны быть приведены: расчетные значения сопротивления заземления (искусственного, полного), расход материалов на изготовление вертикальных электродов и полос. План и разрезы электрода в земле и др.
Пример расчета заземления контура ТП и повторных заземлений.
В соответствии с ПУЭ, РТЭ и ПТБ производится расчет зазамляющего устройства подстанций 10/0.4 кВ, повторных зазамлений на отходящих линиях, зануление электроустановок, проверка защитного отключения при повреждении электроустановок. Согласно ПУЭ, при использовании заземляющего устройства (в сетях до 1 кВ с глухозаземленой нейтралью), к которому присоеденены нейтрали трансформаторов при линейном напряжении 380В в любое время года, не должно превышать Rз ≤4 Ом. Это сопротивление должно быть обеспечено с учетом использования естественных заземлителей и повторных заземлений нулевого провода ВЛ до 1 кВ при количестве отходящих линий не менее двух. Сопротивление повторного Rповт. Должно быть не более 30-ти Ом. Общее сопротивление растекания заземлителей (в том числе естественных, всех повторных заземлений, нулевого рабочего провода ВЛ) не должно превышать Rз.устр ≤ 10 Ом прилинейном напряжении 380 В.
Рассчитываем заземление контура ТП и повторных заземлений.
Исходными данными для расчета являются:
-тип заземлителя - стержень, диаметр 10 мм, 1=4;
- ρрасч= kc * k1* ρизм= 1,15*1,1*250=316,3 Ом *м (67)
Где
ρизм – измеряемое сопротивление грунта, Ом*м;
kc – коэффициент сезонности, kc=1,15;
k1 – учитывающий состояние грунта, k1=1,1.
Определяем сопротивление вертикального заземления, Ом:
(68)
Где
- длина электрода, м;
- диаметр стерня, м;
- глубина заложения, равна расстоянию от поверхности земли до середины стержня, м;
м (69)
Ом
Определяем общее сопротивление повторных заземлений, Ом:
ηпз=88,6/21=4,2 Ом, (70)
где 
ηпз – число повторных заземлений.
Определяем расчетное сопротивление заземления нейтрали трансформатора сучетом повторных заземлений, Ом:
Ом (71)
Принимаем расчетное сопротивление нейтрали 10 Ом.
Определяем теоретическое число стержней, шт:
шт (72)
Принимаем 9 шт.
Определяем длину полосы связи, м:
м, (73)
где
a – расстояние между заземлителями.
Определяем расчетное сопротивление грунта для горизонтального заземлителя

ρрасч= kc * k1* ρизм=2,5*1,6*250=1000 Ом *м
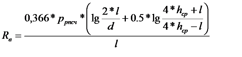
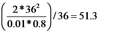
Определяем сопротивление горизонтальной связи, Ом:
Rг=0,366*ррасч*lg
/LГ=0,366*1000*lg
Ом, (74)
где
d – диаметр стержня, м.
Определяем действительное число стержней, шт:
ηг*[1/(rиск*ηг)-1/Rг]/ηв=88,6*0,3*[1/(10*0.3)-1/51.3]/0.6=14 шт (75)
Определяем действительное число сопротивление искуственоого заземления, Ом:
rиск=Rв*Rг/(Rг*ηд * ηв + Rв* ηг)=88,6*51,3/(51,3*14*0,6+88,6*0,3)=9,9 Ом ≤ 10 Ом
Определяем расчетное сопротивление контура, Ом:
rрасч=rиск*rпз/ (rиск+rпз)=9,9*4,2/(9,9+4,2)=2,9 Ом ≤ 4 Ом (76)
Принимаем для монтажа 14 стержней
Рисунок 37 - Контур заземления ТП
Если на объекте проектирования принято несколько подстанций, то в заключении делают сводную таблицу по результатам расчета контура заземления.
Пример таблицы:
Таблица 26 – Результаты расчета контура заземления подстанций
| Номер Подстанции | Измерение сопротивления грунта, ρизм, ОМ*м | Размер электрода, мм | Тип электрода | Длина электрода L,м | Сопротивление вертикального заземлителя Rв, Ом | Сопротивление горизонт. заземления Rг, Ом | Число повторных заземлителей На ВЛ nпз | Длина горизонтальной полосы L, м | Число действительных вертикальных заземлителей n шт | ||
| ЗТП-1 | Стерж. | 88,6 | 51,3 | 9,9 | 2,9 | ||||||
| КТП-2 | Стерж | 88,6 | 6,5 | 3,6 |
Таблица 27 - Коэффициенты, учитывающие состояние грунта при измерении
| Тип электрода | Коэффициенты к значениям удельного сопротивления земли, учитывающие её состояние во время измерения | ||
| К1 | К2 | К3 | |
| Вертикальный: Длиной 3 м Длиной 5 м | 1,15 1,1 | 0,92 0,95 | |
| Горизонтальный: Длиной 10 м Длиной 50 м | 1,7 1,6 | 0,75 |