Подавляющее большинство производственных процессов на пищевых предприятиях сопровождается выделением -инфракрасного (теплового) излучения как оборудованием, так и материалами. Находясь вблизи нагретых материалов, поверхностей оборудования, аппаратов, трубопроводов, пламени, человек подвергается воздействию инфракрасного излучения. Из-за его поглощения повышается не только температура человеческого тела, но и конструкции помещений (пол, стены, перекрытия), оборудования, инструмента. В результате может резко повыситься температура воздуха внутри помещения, что значительно ухудшит микроклимат рабочей зоны. Кроме того, воздействие инфракрасного излучения сопровождается морфологическими и функциональными изменениями в организме человека.
По физической природе инфракрасное излучение представляет собой поток материальных частиц, обладающих волновыми и квантовыми свойствами.
Они представляют собой периодические электромагнитные колебания и в то же время являются потоком квантовых фотонов. Инфракрасные излучения охватывают область спектра с длиной волны, лежащей в пределах от 760 нм до 540 мкм. Энергия кванта лежит в пределах 0,0125—1,25 эВ.
|
|
|
Исследования показывают, что не менее 60 % всей теряемой теплоты распространяется в окружающей среде путем инфракрасного излучения. По закону Сте-фана-Больцмана излучение абсолютно черного тела пропорционально четвертой степени его абсолютной температуры:

0 где Е0— интегральное излучение, Вт/м2; сг0 = 5,67- Ю-8, Вт/(м2-К4) — константа излучения абсолютно черного тела; С0=5,67 Вт/(м2-К4)— коэффициент излучения абсолютно черного тела; Т — температура излучаемого тела, К.
Излучение различных материалов описывается уравнением:

где е — степень черноты.
Длина волны зависит от температуры источника излучения. Чем она выше, тем меньше длина волны. Действие ИК излучения зависит от продолжительности воздействия, температуры окружающего воздуха, угла падения лучей и степени защищенности тела. Важнейшими факторами являются интенсивность и длина волны. Короткие ИК лучи вызывают функциональные расстройства ЦНС, поражения глаз. Длинные ИК лучи вызывают нагрев кожи, переполнение кровеносных сосудов крови, усиливается обмен веществ, изменение давления. Учащается дыхание, повышение тем. тела, потоотделение.
|
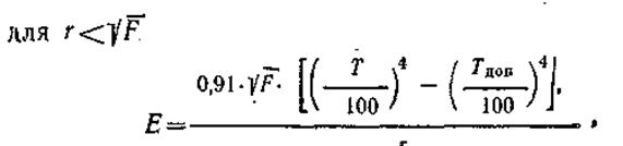
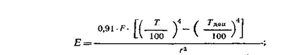
Расчет интенсивности облучения, Вт/м2, от нагретой поверхности или через отверстия в печи осуществляют,по формулам: для l≥F
|
Р — площадь излучающей поверхности, м2;
Т — температура излучаемой поверхности, К;
Тяоп — допустимая температура на поверхности оборудования, К;
|
|
|
L —расстояние до источника излучения, м.
Подсчитанную величину интенсивности облучения сравнивают с допустимой по нормам. Если Е больше нормы, возникает необходимость в проведении мероприятий по уменьшению действия излучения на работающих.
Способы защиты от инфракрасного излучения — теплоизоляция горячих поверхностей; охлаждение теплоизлучающих поверхностей; экранирование источников излучения; применение воздушного душирования; организация рационального режима труда и отдыха.