- размер отрасли
;
- площадь сельхозугодия вида
после трансформации;
- соответственно площадь сельхозугодия вида
получаемого от хозяйства
или передаваемого в
;
- количество собственного труда вида
, не обеспеченного фондами соцкультбыта;
- соответственно количество труда вида
, получаемого от хозяйства
или передаваемого в
;
- размер отрасли
(площадь посева, поголовья), принадлежащей к
однородной группе;
- потребность в минеральных удобрениях вида
;
- сумма прибыли ресурса
на формирование основных фондов отрасли
;
- соответственно амортизационные отчисления (на реновацию) и кредит на формирование основных фондов;
- объем продукции вида
рыночного фонда;
- потребность в побочном корме или корме животного происхождения вида
;
- скользящая переменная или добавка корма
на все поголовье животных вида или половозрастной группы
;
- количество молодняка вида, половозрастной группы
, получаемого от хозяйства
или передаваемого в
;
Yi- сумма прибыли, ресурса i для материального поощрения работников.
|
|
|
Известные величины:
- площадь сельхозугодия вида
до трансформации;
- возможная площадь аренды сельскохозяйственных угодий;
- возможная площадь трансформации земельных угодий;
- труд вида
соответственно обеспеченный и не обеспеченный фондами соцкультбыта;
- возможный объем труда, перераспределяемый между хозяйствами;
- соответственно минимальный и максимальный размер товарной отрасли j;
- объем корма
на содержание животных работников хозяйства;
- возможный объём корма вида
, перераспределяемого между хозяйствами
и
;
- остаточная стоимость ресурса
– основных фондов, используемых в прогнозируемом году;
- возможный объем кредита, т. е. ресурса
;
- фактическая сумма прибыли, ресурса
на начало прогнозного периода;
- объем договорных поставок по продукции вида
;
- расход соответственно сельхозугодия или труда вида
на единицу измерения отрасли
;
- соответственно, минимальная и максимальная норма расхода корма
на одну голову вида или половозрастной группы
;
- выход корма
с 1 га посева сельскохозяйственной культуры или природного кормового угодья вида
;
- содержание питательного вещества
в единице (1 ц) корма
;
– амортизационные отчисления, ресурс i, в расчете на единицу основных, в том числе производственных фондов отрасли j;
- потребность питательного вещества вида
, на одну голову вида, половозрастной группы
для получения прогнозируемой продуктивности животного;
- соответственно, минимальная и максимальная доля группы однородных сельскохозяйственных культур
в площади пашни (ресурсе
);
- коэффициент соотношения сельскохозяйственных отраслей j или отдельных переменных;
|
|
|
- соответственно, норма внесения органического удобрения вида
под сельхозкультуру вида
или выхода его в расчёте на голову животных вида, группы
;
- норма внесения минерального удобрения вида
под сельхозкультуру
для получения прогнозной урожайности или продуктивности природного кормового угодья;
- фондооснащенность, т. е. стоимость ресурса
(основных производственных фондов) в расчете на единицу измерения отрасли
;
- стоимость фондов соцкультбыта (ресурса
) в расчёте на единицу труда (чел. ч.);
- приращение основных (производственных) фондов за счет единицы денежных средств (прибыли, амортизационных отчислений на реновацию и кредита);
- сумма ресурса
, прибыли в расчёте на 1 га отрасли растениеводства
;
- денежная выручка, ресурс
, за вычетом затрат на корма в расчете на единицу измерения товарной отрасли животноводства
;
- себестоимость, затраты, ресурс
на единицу корма
;
- затраты, ресурс
на единицу корма
в рамках перераспределения кормов между хозяйствами
и
;
- выход товарной продукции вида
от единицы измерения товарной отрасли
;
- валовой доход в расчете на единицу измерения отрасли
.
Содержание структурной ЭММ определяет перечень необходимой исходной информации.
Исходную информацию для экономико-математической модели рассчитываем на основе системы информационных (корреляционных) моделей.
Структурная ЭММ оптимизации прогнозной программы развития
Найти: x
,
,
,
,
,
,
,
,
,
,
,
,
,
0
F max валового дохода = 
при условиях:
1. По использованию и формированию землепользования хозяйства:
=
,
.
1.1.
=
+
-
+
-
,
.
1.2. По трансформации других сельскохозяйственных угодий вида
в данное
:
,
,
.
1.3. По трансформации данного сельхозугодья
в другое
:
,
,
.
1.4. По аренде сельхозугодья
в хозяйстве
:
,
,
.
1.5. По аренде сельхозугодья
хозяйствами
:
,
,
.
2. По использованию и формированию трудовых ресурсов:
,
.
2.1. По труду, не обеспеченному фондами соцкультбыта:
,
.
2.2. По труду вида
, привлекаемому из хозяйства
:
,
,
.
2.3. По труду вида
, передаваемому в хозяйство
:
,
,
.
3. По размерам товарных отраслей:
,
.
4. По материальному обеспечению прогнозной программы сельхозорганизации:
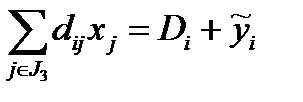
4.1. По балансу основных видов кормов:
, 
4.2. По корму вида
, который покупаем или получаем от обмена из хозяйства (предприятия)
:
,
,
.
4.3. По корму вида
, который продаем или передаем для обмена в хозяйство
:
,
,
.
4.4. По потребности в побочных кормах или кормах животного происхождения:
,
.
5. По добавкам кормов к минимальной норме и формированию оптимальных рационов кормления животных отдельных видов или половозрастных групп животных:
,
,
.
6. По балансу питательных веществ, содержащихся в кормах:

7. По содержанию питательных веществ в добавках, обеспечивающих формирование оптимальных рационов кормления животных отдельных видов или половозрастных групп:
,
,
.
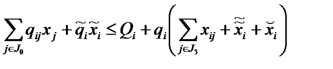
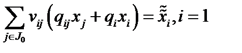
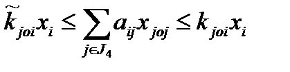
8. Производственно-технологические ограничения на размеры отраслей:
а) по поголовью молодняка:
,
;
б)
,
,
;
в)
,
,
;
г) по площади однородных или отдельных видов сельхозкультур:
,
,
;
д) по размерам технологически взаимосвязанных отраслей:
,
.
9. По материальному обеспечению прогнозной урожайности сельхозкультур:
а) по внесению и производству органических удобрений:
,
;
б) по внесению и закупке минеральных удобрений:
,
.
10. По техническому обеспечению прогнозных показателей отраслей и производств сельхозорганизации:
а) по формированию основных фондов:
,
;
б) по сумме кредита:
,
;
в) по формированию амортизационных отчислений на реновацию
.
11. По среднегодовой сумме прибыли:
,
.
12. По производству и распределению товарной продукции:
,
.
Развернутая экономико-математическая по решению поставленной задачи представлена ниже.
Переменные:
Основные культуры:
х1 - площадь посева озимых зерновых, га
|
|
|
х2 - площадь посева яровых зерновых, га
х3 - площадь посева зернобобовых, га
х4 - площадь посева кукурузы на зерно, га
х5 - площадь посева сахарной свеклы, га
х6 - площадь посева рапса, га
х11 - площадь посева кукурузы на силос, га
Многолетние травы:
х7 - площадь посева многолетних трав на сено, га
х8 - площадь посева многолетних трав на семена, га
х9 - площадь посева многолетних трав на зеленый корм, га
Однолетние травы:
х10 - площадь посева однолетних трав на зеленый корм, га
Природные сенокосы:
х12 - площадь посева улучшенных сенокосов на сено, га
х13 - площадь посева улучшенных сенокосов на выпас (сенаж), га
Пастбища:
х14 - площадь посева улучшенных пастбищ на зеленый корм, га
х15 - площадь посева улучшенных пастбищ на сенаж, га
Животные:
х16 - Поголовье коров,гол.
х17 - Поголовье молодняка КРС,гол.
Труд:
х18 - возможный объем привлеченного труда, чел.ч.
Потребность кормов:
х30 - Потребность в соломе
СКП (добавки):
х19 - СКП для коров по концентратам
х20 - СКП для коров по силосу
х21 - СКП для коров по зеленому и пастбищному корму
х22 - СКП для коров по сену
х23 - СКП для коров по сенажу
х24 - СКП для коров по соломе
х25 - СКП для молодняка КРС по концентратам
х26 - СКП для молодняка КРС по силосу
х27 - СКП для молодняка КРС по зеленому и пастбищному корму
х28 - СКП для молодняка КРС по сену
х29 - СКП для молодняка КРС по сенажу
Покупка кормов и другой продукции, ц:
х31 - Комбикорм на концентраты
Рыночный фонд, ц:
х32 - зерна
х33 - сахарной свеклы
х34 - Молока
х35 - мяса (говядины)
Ограничения:
Первая группа ограничений по использованию сельскохозяйственных угодий: пашни, сенокосов и пастбищ. Использованная площадь сельскохозяйственных угодий не должна превышать их наличие.
По плошади пашни
х1 + х2 + х3 + х4 + х5 + х6 + х7 + х8 + х9 + х10 + х11 = 1524
По плошади сенокосов
х12 + х13 = 771
По плошади пастбищ
х14 + х15 = 252
Вторая группа ограничений по использованию труда.
По использованию годового труда
23,80*х1 + 18,97*х2 + 68,86*х3 + 89,24*х4 + 30,13*х5 + 13,33*х6 + 18,10*х7 + 22,33*х8 + 2,53*х9 + 2,47*х10 + 42,86*х11 +25,00*х12 + 18,00*х13 + 2,00*х14 + 8,00*х15 + 217,29*х16 + 20,93*х17 <= 305 550 + х18
По использованию труда в напряженный период
|
|
|
10,71*х1 + 8,54*х2 + 30,98*х3 + 40,16*х4 + 19,58*х5 + 6,00*х6 + 8,14*х7 + 10,05*х8 + 1,14*х9 + 1,11*х10 + 19,29*х11 + 11,25*х12 + 8,10*х13 + 0,90*х14 + 3,60*х15 + 71,71*х16 + 6,91*х17 <= 122 220 + х18
По труду, привлекаемому со стороны
х18 <= 15 278
Третья группа ограничений по размерам товарных и других отраслей растениеводства и животноводства:
по зерновым (min): х1 + х2 + х3 >= 0,40*1524
по озимым зерновым (min): х1 >= 0,25*(х1 + х2 + х3)
по яровым зерновым (min): х2 >= 0,40*(х1 + х2 + х3)
по зернобобовым (min): х3>= 0,07*(х1 + х2 + х3)
по поголовью коров (min): х16 >= 0,95*633
по молодняка КРС (min): х17 >= 0,95*1 094
по зерновым (max): х1 + х2 + х3 <= 0,60*1524
по озимым зерновым (max): х1 <= 0,40*(х1 + х2 + х3)
по яровым зерновым (max): х2 <= 0,60*(х1 + х2 + х3)
по зернобобовым (max): х3 <=0,10 *(х1 + х2 + х3)
по трудоемким культурам (max): х5 <=0,12*1524
по поголовью коров (max): х16 <=1,10*633
по молодняка КРС (max): х17 <=1,10*1 094
Четвертая группа ограничений – по балансу отдельных видов кормов: расход корма по минимальной норме плюс скользящая переменная (СПК), т. е. добавка корма по каждому виду или половозрастной группе животных не превысит производство, покупку корма и поступление его от обмена.
По балансу концентратов:
16,21*х16 + 4,03*х17 + х19 + х25 + 970,0 <= + 4,71*х1 + 25,46*х2 + 33,16* х3 + 68,50*х4 + х31
По балансу силоса:
12,97*х16 + 5,60*х17 + х20 + х26 <= 358,68*х11
По балансу зеленого и пастбищного корма
59,45*х16 + 17,92*х17 + х21 + х27 + 5 359,3 <= 281,44*х9 + 177,33* х10 + 248,32* х14
По балансу сена
12,97*х16 + 7,84*х17 + х22 + х28 + 1 649,0 <= 62,54* х7 + 62,08* х12
По балансу сенажа
25,94*х16 + 4,48*х17 + х23 + х29 <= 84,00*х13 + 136,58* х15
По производству соломы на корм
х30 <= 13,00*х1 + 12,00*х2
По потребности соломы
1,54*х16 + х24 = х30
Пятая группа ограничений – по покупке кормов
х31<= 11190
Шестая группа ограничений – на скользящие переменные.
СКП по концентратам для коров: х19<= (25,94 - 16,21)*х16
СКП по концентратам для молодняка КРС: х25<= (8,27 - 4,03)*х17
СКП по силосу для коров: х20<= (45,39 - 12,97)*х16
СКП по силосу для молодняка КРС: х26<= (8,96 - 5,60)*х17
СКП по зеленому корму для коров: х21<= (82,42 - 59,45)*х16
СКП по зеленому корму для молодняка КРС: х27<= (26,88 - 17,92)*х17
СКП по сену для коров: х22<= (38,91 - 12,97)*х16
СКП по сену для молодняка КРС: х28<= (10,08 - 7,84)*х17
СКП по сенажу для коров: х23<= (64,85 - 25,94)*х16
СКП по сенажу для молодняка КРС: х29<= (13,20 - 4,48)*х17
Седьмая группа ограничений – по балансу отдельных видов питательных веществ. Расход отдельных видов питательных веществ на содержание животных хозяйства не превысит наличие этих веществ в произведенных в хозяйстве кормах.
По балансу кормовых единиц:
61,55*х16 + 22,40*х17 + 3 336,56 <= 1,00 * (4,71*х1 + 25,46*х2 + 33,16*х3 + 68,50*х4 + х31) + 0,200 * (358,68* х11 +) + 0,190*(281,44* х9 + 177,33* х10 + 248,32* х14) + 0,450*(62,54* х7 + 62,08* х12) + 0,280*(84,00* х13 + 136,58* х15) + 0,250*х30
По балансу переваримого протеина:
6,46*х16 + 2,46 *х17 + 328,47 <= 0,105 * (4,71*х1 + 25,46*х2 + 33,16*х3 + 68,50* х4 + х31) + 0,014 * (358,68* х11) + 0,021* (281,44* х9 + 177,33* х10 + 248,32* х14) + 0,053 *(62,54* х7 + 62,08* х12) + 0,033* (84,00* х13 + 136,58* х15) + 0,011 *х30
Восьмая группа ограничений – по содержанию питательных веществ (кормовых единиц и переваримого протеина) в дополнительных кормах, обозначенных скользящими переменными.
Ограничения необходимы, чтобы получить оптимальные рационы для каждого вида и половозрастной группы животных.
КЕ для коров:
(61,55-43,59) * х16 <= 1,00* х19 + 0,200*х20 + 0,190*х21 + 0,450*х22 + 0,280*х23 + 0,250*х24
ПП для коров:
(6,46-4,69) * х16 <= 0,105* х19 + 0,014*х20 + 0,021*х21 + 0,053*х22 + 0,033*х23 + 0,011*х24
КЕ для молодняка КРС:
(22,40-13,34)* х17 <= 1,00* х25 + 0,200 *х26 + 0,190 *х27 + 0,450 *х28 + 0,280 *х29
ПП для молодняка КРС:
(2,46-1,44) *х17<= 0,105 *х25 + 0,021 *х27 +0,053 *х28 + 0,033 *х29
Девятая группа ограничений – по продаже продукции государству. Производство отдельных видов товарной продукции должно быть не меньше установленного плана.
По реализации зерна: 39,41*х1 + 18,98*х2 = 17 579,5 + х32
По реализации мяса КРС: 2,64*х17 = 1 813,8 + х35
По реализации молока: 64,85*х16 >= 37 594,1 + х34
По реализации сахарной свеклы: 460,79*х5 >= 31 958,8 + х33
По реализации рапса: 17,27*х6 >= 2 419,8
Целевая функция (максимум денежной выручки):
135,02*(39,41*х1 + 18,98*х2) + 1 639,11*2,64*х17 + 266,31*(64,85*х16) + 30,66*460,79*х5 + 292,34*17,27*х6 + 0,25*(135,02*х32 + 2,64*х35 + 266,31*х34 + 30,66*х33) - 3,90*х18 - 236,28*х31






