Расчет числа универсальных постов по данной методике определяется только для тех зон, в которых обслуживание принято на универсальных постах.
Ритм производства Ri – это время, приходящееся в среднем на выпуск одного автомобиля из данного вида ТО, или интервал времени между выпуском двух последовательно обслуженных автомобилей из данной зоны:
Ритм производства:
мин. (1.37)
где Тсм – продолжительность смены, ч;
С – число смен.
Nic – суточная производственная программа.
КамАЗ
320 мин.
мин.
ЗИЛ
320 мин.
мин.
Такт поста τi:
мин. (1.38)
где
– трудоемкость работ данного вида обслуживания, выполняемого
на посту, чел·ч;
Рп – число рабочих, одновременно работающих на посту
tп – время, затрачиваемое на передвижение автомобиля при установке
его на пост и съезд с поста, мин.
КамАЗ
=
+ 2 = 257,9 мин.
=
+ 2 = 827,3 мин.
ЗИЛ
=
+ 2 = 134 мин.
=
+ 2 = 533 мин.
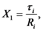
Число постов обслуживания ТО-1 (Х1) определяется:
(1.39)
где τi - такт поста,
КамАЗ
= 0,80 = 1 пост
ЗИЛ
= 0,42= 1 пост
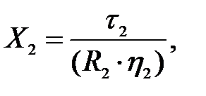
Число постов ТО-2 (Х2):
|
|
|
(1.40)
где
– коэффициента использования рабочего времени поста,
КАМАЗ
=
пост
ЗИЛ
=
пост






