Волоконно-оптические кабели - специальный род коммуникационных кабелей, предназначенных для передачи информационных сообщений с помощью дискретных импульсов света. В силу того, что оптоволоконный кабель использует свет (фотоны) вместо электричества, почти все проблемы, присущие медному кабелю, такие как электромагнитные помехи, перекрестные помехи (переходное затухание) и необходимость заземления, полностью устраняются.
В курсовом проекте выбираем кабель типа ОКГМ(н),производства компании Москабель-Фуджикура.
Оптический кабель магистральный с центральным силовым элементом из стеклопластикового стрежня, стального троса или стальной проволоки в полиэтиленовой оболочке (или без нее), вокруг которого скручены оптические модули, содержащие до 24 оптических волокон каждый, и (при необходимости) кордели заполнения, в промежуточной оболочке из полиэтилена, бронепокровом из круглых стальных оцинкованных проволок и внешней оболочкой из полиэтилена.
Конструкция кабеля приведена на рисунке 9:

Рисунок 9 - Конструкция и сечение кабеля ОКГМ(н).
Структура кабеля:
1. Центральный силовой элемент.
2. Оптическое волокно.
3. Оптический модуль.
4. Промежуточная оболочка из полиэтилена.
5. Гидрофобный заполнитель.
6. Круглая стальная оцинкованная проволока.
7. Внешняя оболочка из полиэтилена.
Таблица 5 Основные технические характеристики ОКГМ(н).
| Вид кабеля | Количество ОВ в кабеле | Номинальный расчётный диаметр кабеля, мм | Расчётная масса кабеля, кг/км | Растягивающее усилие, кН | Раздавливающее усилие, Н/1см | Раздавливающее усилие, Н/1см | Минимальный радиус изгиба кабеля, мм |
| До 48 | До 8 | До 12,8 | До 285 | 7,0 | Не менее 400 | |
| До 48 | До 8 | До 13,6 | До 321 | ||||
| До 72 | До 12 | До 14,0м | До 334 | ||||
| До 96 | До 12 | До 15,9 | До 477 | ||||
| До 144 | До 12 | До 19,5 | До 756 | ||||
| До 288 | До 24 | До 26,9 | До 1449 |
5. Расчеты параметров регенерационного участка. Волоконно-оптических систем передачи.
5.1Расчет длины регенерационного участка волоконно-оптической системы передач.
На волоконно-оптических линиях передачи (ВОЛП) различают три типа стандартизированных участков - секций:
- оптическая секция это участок линии передачи от точки электронно-оптического (передающего оптического модуля - ПОМ) до точки оптоэлектронного (приемного оптического модуля - ПРОМ);
- регенерационная секция (регенерационный участок) - участок линии передачи между двумя регенераторами;
- мультиплексная секция - участок линии передачи СЦИ между мультиплексорами или коммутаторами (называемыми еще транспортными узлами).
Оптические секции нормируются по длине, при этом выделяют три типа:
- I - внутристанционная секция, длина которой не превышает 2-х км;
- S - короткая межстанционная секция, длина которой лежит в пределах 3…15 км;
- L- длинная межстанционная секция, длина которой равна длине регенерационного участка и зависит от длины волны оптического линейного сигнала.
Классификация стандартных оптических секций (интерфейсов) в зависимости от уровня STM приведена в таблице 6.
Таблица 6 Классификация стандартных оптических секций
| Использование | Внутри станции | Между станциями | |||||||
| Короткая секция | Длинная секция | ||||||||
| Длина волны источника, мкм | 1,31 | 1,31 | 1,55 | 1,31 | 1,55 | ||||
| Тип волокна | Rec. G.652 | Rec. G.652 Rec. G.654 | Rec. G.652 | ||||||
| Длина, км | £ 2 | ³ 40 | ³ 80 | ||||||
| Уровни STM | STM-1 | I - 1 | S – 1.1 | S – 1.2 | L – 1.1 | L – 1.2 | L – 1.3 | ||
| STM-4 | I - 4 | S – 4.1 | S – 4.2 | L – 4.1 | L – 4.2 | L – 4.3 | |||
| STM-16 | I - 16 | S – 16.1 | S – 16.2 | L – 16.1 | L – 16.2 | L – 16.3 | |||
В общем случае кодировка типов оптических секций как оборудования СЦИ включает три элемента и имеет формат «код использования» - «уровень STM» - «индекс источника излучения»
Как следует из таблицы 6, длина регенерационного участка (межстанционной регенерационной секции) цифровой волоконно-оптической системы передачи (ЦВОСП) зависит от многих факторов, важнейшими из которых являются:
1) энергетический потенциал (Э) ЦВОСП, равный
Э = рпер – рпр, дБ, (5.1)
где рпер – абсолютный уровень мощности оптического сигнала (излучения) на входе линейного оптического кабеля или на выходе передающего оптического модуля (ПОМ), дБм; рпр – абсолютный уровень мощности на выходе оптического линейного кабеля или на входе приемного оптического модуля (ПРОМ); энергетический потенциал определяет максимально-допустимое затухание оптического сигнала в оптическом волокне (ОВ), в разъемных и неразъемных соединениях на регенерационном участке;
2) дисперсия ОВ, приводящая к изменению формы импульсов оптического излучения, их уширению;
3) помехи, обусловленные тепловыми шумами резисторов, шумами транзисторов, полупроводниковых диодов, усилителей, шумами источников оптического излучения и др.; этот вид помех интегрально учитывается собственными шумами;
приемника оптического излучения;
4) дробовые шумы и темновые шумы приемника оптического излучения;
Для определения длины регенерационного участка (РУ) lру составляется его расчетная схема (рисунок 10), где приняты следующие обозначения: НРП – необслуживаемый регенерационный пункт; ППОМ – приемопередающий оптический модуль, преобразующий оптический сигнала в электрический, восстанавливающий его параметры и преобразующий восстановленный электрический сигнал в оптический; ОС-Р – оптический разъемный соединитель (их число на РУ обычно равно 2); ОС-Н – оптический соединитель неразъемный, число которых на единицу меньше числа строительных длин оптического кабеля (ОК), составляющих РУ.
| ОС-Р |
| ОС-Р |
| ППОМ |
| ППОМ |
| ОВ |
| ОВ |
| ОВ |
| ОВ |
| ОС-Н |
| ОС-Н |
| НРПi |
| НРПi+1 |
| l ру |
| Рисунок 10 - Длина регенерационного участка ЦВОСП |
Как следует из рис. 5.1, затухание регенерационного участка равно
Ару = 2·Аоср + n·Аосн + a·lру + Аt + Ав, (5.2)
где Аоср – затухание разъемного оптического соединения, равное 0,5 дБ; Аосн – затухание неразъемного оптического соединения, равное 0,1 дБ; a - коэффициент затухания оптического кабеля, дБ/км; Аt = 0,5…1,5 дБ – температурные изменения параметров ЦВОСП и оптического кабеля; Ав = 2…6 дБ– допуски на ухудшение параметров элементов ЦВОСП со временем (старение, деградация и т.п.) и определяются, в основном, типом источника и приемника оптического излучения и их комбинациями.
Максимальное затухание регенерационного участка или энергетический потенциал Э ЦВОСП, как следует из рис. 5.1, равны
Амакс = рпер – рпр = Э = a×lру + пр×Ар + пн × Ан, дБ (5.3)
где пр - число разъемных соединений, Ар - ослабление разъемного соединения, величина которого не превышает 0,5 дБ; Ан - ослабление неразъемного соединения, величина которого при современной технологии сварки оптического волокна не превышает 0,1 дБ, пн - число неразъемных соединений, которое равно:
; l c - строительная длина оптического кабеля.
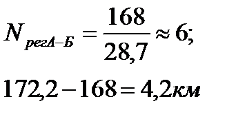
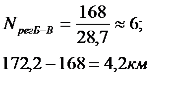
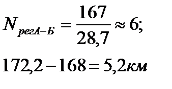
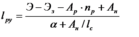
Длина регенерационного участка ЦВОСП
км
Для гарантированного качества показателей линейного тракта ЦВОСП необходимо иметь эксплуатационный запас Эз = Аt + Ав = 2,5…7,5 дБ. С учетом энергетического запаса длина регенерационного участка ЦВОСП равна
км. (5.5)
На длину регенерационного участка влияет и величина дисперсии оптического волокна (ОВ). Длина регенерационного участка с учетом дисперсии ОВ равна:
(5.6)
для одномодового ОВ, где sн – нормированная дисперсия оптического волокна, пс / нм ·км; D l - ширина полосы оптического излучения, нм, равная 2…4 нм для лазерных диодов;
В – скорость передачи цифрового потока, соответствующая коду линейного цифрового сигнал,
Расчет:
Определим длину регенерационного участка c учетом коэффициента затухания по формуле (5.5)

Определим предельную длину участка регенерации ограниченную дисперсионными свойствами оптического кабеля, используя формулу (5.6)

Из двух полученных длин регенерационного участка выбираем регенерационный участок ограниченный дисперсионными свойствами.
| ОС-Р |
| ОС-Р |
| ППОМ |
| ППОМ |
| ОВ |
| ОВ |
| ОВ |
| ОВ |
| ОС-Н |
| ОС-Н |
| НРПi |
| НРПi+1 |
| 28,7 |
| Рисунок 10 - Длина регенерационного участка ЦВОСП с рассчитанной длиной. |
Расчет:



ЗАКЛЮЧЕНИЕ
СПИСОК ЛИТЕРАТУРЫ
1 Крухмалев Владимир Васильевич. Цифровая линия передачи. – Р/Д: Учебное пособие «Ростовский-на-Дону государственный колледж связи и информатики», 2006. – 99 c.
2 Гордиенко В.Н., Тверецкий М.С. Многоканальные телекоммуникационные системы. – М.: Горячая линия − Телеком, 2005. − 416 с., ил.
3 Крухмалев В.В., Гордиенко В.Н., Спасский Б.Г. Цифровые системы передачи с импульсно-кодовой модуляцией и временным разделением каналов. Учебное пособие для курсового и дипломного проектирования оборудования линейного тракта – 2-е изд. – Р/Д: СКФ МТУСИ, 2006. − 95 с., ил.
4 Пузыревский И.А. Правила оформления текстовых документов в учебном процессе. – 8-е изд.– Ростов-на-Дону: РКСИ, 2012. – 44с.