Клеточная стенка (оболочка) придает клеткам механическую прочность, защищает их содержимое от повреждений и избыточной потери воды, поддерживает форму клеток и их размер, а также препятствует разрыву клеток в гипотонической среде. Клеточная стенка участвует в поглощении и обмене различных ионов, т. е. является ионообменником. Через клеточную оболочку осуществляется транспорт веществ.
В состав клеточной стенки входят структурные компоненты (целлюлоза у растений и хитин у грибов), компоненты матрикса (гемицеллюлоза, пектин, белки), инкрустирующие компоненты (лигнин, суберин) и вещества, откладывающиеся на поверхности оболочки (кутин и воск).
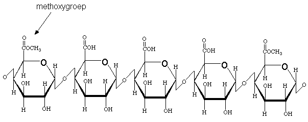
Гемицеллюлозы — это группа полисахаридов (полимеры пентоз и гексоз — ксилозы, галактозы, маннозы, глюкозы и др.)

Пектиновые вещества — это полимеры, построенные из моносахаридов (арабинозы и галактозы), галактуроновой кислоты (сахарной кислоты) и метилового спирта.

33.Клеточное ядро: строение, функции, хим. состав.
Ядро – основной компонент клетки, несущей генетическую информации Ядро – располагается в центре. Форма различная, но всегда круглая или овальная. Размеры различны. Содержимое ядра – жидкая консистенция.Ядерная оболочка состоит из 2 мембран, разделённых перенуклеарным пространством. Оболочка снабжена порами, через которые происходит обмен крупными молекулами различных веществ. Оно может находиться в 2 состояниях: покоя – интерфазы и деления – митоза или мейоза.
В ядре клетки различают основные структуры: 1) ядерную оболочку (ядерную мембрану), через поры которой осуществляется обмен между ядром клетки и цитоплазмой.
2) ядерный сок, или кариоплазму,— полужидкую, слабо окрашиваемую плазматическую массу, заполняющую все ядра клетки и содержащую в себе остальные компоненты ядра;
3)хромосомыкоторые в неделящемся ядре видны только с помощью специальных методов микроскопии (на окрашенном срезе неделящейся клетки хромосомы обычно имеют вид неправильной сети из темных тяжей и зернышек, в совокупности называемых хроматином);
4) одно или несколько сферических телец — ядрышек, являющихся специализированной частью ядра клетки и связанных с синтезом рибонуклеиновой кислоты и белков.
Главные функции клеточного ядра:
1.хранение информации;
2.передача информации в цитоплазму с помощью транскрипции, т. е. синтеза переносящей информацию и-РНК;
3.передача информации дочерним клеткам при репликации - делении клеток и ядер.
Химический состав различных клеток может заметно отличаться, однако ряд веществ обязательно содержится в каждой клетке. Из неорганических веществ — это вода и минеральные соли (хлориды калия, натрия, кальция, магния и др.), из органических — белки, жиры и углеводы. Белки и белковые соединения являются важнейшими компонентами, именно их свойства лежат в основе процессов, происходящих в клетке как живой системе.