Из соотношения (37.3) вытекает, что t < t ', т. е. длительность события, происходящего в некоторой точке, наименьшая в той инерциальной системе отсчета, относительно которой эта точка неподвижна. Этот результат может быть еще истолкован следующим образом: интервал времени t', отсчитанный по часам в системе К', с точки зрения наблюдателя в системе К, продолжительнее интервала t, отсчитанного по его часам. Следовательно, часы, движущиеся относительно инерциальной системы отсчета, идут медленнее покоящихся часов, т. е. ход часов замедляется в системе отсчета, относительно которой часы движутся. На основании относительности понятий «неподвижная» и «движущаяся» системы соотношения для t и t ' обратимы. Из (37.3) следует, что замедление хода часов становится заметным лишь при скоростях, близких к скорости распространения света в вакууме.
В связи с обнаружением релятивистского эффекта замедления хода часов в свое время возникла проблема «парадокса часов» (иногда рассматривается как «парадокс близнецов»), вызвавшая многочисленные дискуссии. Представим себе, что осуществляется фантастический космический полет к звезде, находящейся на расстоянии 500 световых лет (расстояние, на которое свет от звезды до Земли доходит за 500 лет), со скоростью, близкой к скорости света (
=0,001). По земным часам полет до звезды и обратно продлится 1000 лет, в то время как для системы корабля и космонавта в нем такое же путешествие займет всего 1 год. Таким образом, космонавт возвратится на Землю в
раз более молодым, чем его брат-близнец, оставшийся на Земле. Это явление, получившее название парадокса близнецов, в действительности парадокса нt содержит. Дело в том, что принцип относительности утверждает равноправность не всяких систем отсчета, а только инерциальных. Неправильность рассуждения состоит в том, что системы отсчета, связанные с близнецами, не эквивалентны: земная система инерциальна, а корабельная — неинерциальна, поэтому к ним принцип относительности неприменим.
Релятивистский эффект замедления хода часов является совершенно реальным и получил экспериментальное подтверждение при изучении нестабильных, самопроизвольно распадающихся элементарных частиц в опытах с p-мезонами. Среднее время жизни покоящихся p-мезонов (по часам, движущимся вместе с ними) t» 2,2×10–8 с. Следовательно, p-мезоны, образующиеся в верхних слоях атмосферы (на высоте»30 км) и движущиеся со скоростью, близкой к скорости с, должны были бы проходить расстояния сt» 6,6 м, т. е. не могли бы достигать земной поверхности, что противоречит действительности. Объясняется это релятивистским эффектом замедления хода времени: для земного наблюдателя срок жизни p-мезона t ' = t /
, а путь этих частиц в атмосфере vt ' = bct '= bct/
. Так как b»1, то vt '>> ct.
3. Длина тел в разных системах отсчета. Рассмотрим стержень, расположенный вдоль оси х' и покоящийся относительно системы К'. Длина стержня в системе К' будет
, где
и
— не изменяющиеся со временем t' координаты начала и конца стержня, а индекс 0 показывает, что в системе отсчета К' стержень покоится. Определим длину этого стержня в системе К, относительно которой он движется со скоростью v. Для этого необходимо измерить координаты его концов x 1 и x 2 в системе К в один и тот же момент времени t. Их разность l = х 2 – х 1 и определяет длину стержня в системе К. Используя преобразования Лоренца (36.3), получим

т. е.
(37.4)
Таким образом, длина стержня, измеренная в системе, относительно которой он движется, оказывается меньше длины, измеренной в системе, относительно которой стержень покоится. Если стержень покоится в системе К, то, определяя его длину в системе К', опять-таки придем к выражению (37.4).
Из выражения (37.4) следует, что линейный размер тела, движущегося относительно инерциальной системы отсчета, уменьшается в направлении движения в
раз, т. е. так называемое лоренцево сокращение длины тем больше, чем больше скорость движения. Из второго и третьего уравнений преобразований Лоренца (36.3) следует, что

т. е. поперечные размеры тела не зависят от скорости его движения и одинаковы во всех инерциальных системах отсчета. Таким образом, линейные размеры тела наибольшие в той инерциальной системе отсчета, относительно которой тело покоится.
4. Релятивистский закон сложения скоростей. Рассмотрим движение материальной точки в системе К', в свою очередь движущейся относительно системы К со скоростью v. Определим скорость этой же точки в системе К. Если в системе К движение точки в каждый момент времени t определяется координатами х, у, z, а в системе К' в момент времени t ' — координатами х', у', z', то

представляют собой соответственно проекции на оси х, у, z и х', у', z' вектора скорости рассматриваемой точки относительно систем К и К'. Согласно преобразованиям Лоренца (36.3),

Произведя соответствующие преобразования, получаем релятивистский закон сложения скоростей специальной теории относительности:
(37.5)
Если материальная точка движется параллельно оси х, то скорость и относительно системы К совпадает с ux, а скорость и' относительно К' — с
. Тогда закон сложения скоростей примет вид
(37.6)
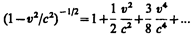
Легко убедиться в том, что если скорости v, и' и и малы по сравнению со скоростью с, то формулы (37.5) и (37.6) переходят в закон сложения скоростей в классической механике (см. (34.4)). Таким образом, законы релятивистской механики в предельном случае для малых скоростей (по сравнению со скоростью распространения света в вакууме) переходят в законы классической физики, которая, следовательно, является частным случаем механики Эйнштейна для малых скоростей.
Релятивистский закон сложения скоростей подчиняется второму постулату Эйнштейна (см. § 35). Действительно, если u' = c, то формула (37.6) примет вид
(аналогично можно показать, что при и = с скорость u' также равна с). Этот результат свидетельствует о том, что релятивистский закон сложения скоростей находится в согласии с постулатами Эйнштейна.
Докажем также, что если складываемые скорости сколь угодно близки к скорости с, то их результирующая скорость всегда меньше или равна с. В качестве примера рассмотрим предельный случай u ' = v = с. После подстановки в формулу (37.6) получим и = с. Таким образом, при сложении любых скоростей результат не может превысить скорости света с в вакууме. Скорость света в вакууме есть предельная скорость, которую невозможно превысить. Скорость света в какой-либо среде, равная с / n (n — абсолютный показатель преломления среды), предельной величиной не является (подробнее см. § 189).
§ 38. Интервал между событиями
Преобразования Лоренца и следствия из них приводят к выводу об относительности длин и промежутков времени, значение которых в различных системах отсчета разнос. В то же время относительный характер длин и промежутков времени в теории Эйнштейна означает относительность отдельных компонентов какой-то реальной физической величины, не зависящей от системы отсчета, т. е. являющейся инвариантной по отношению к преобразованиям координат. В четырехмерном пространстве Эйнштейна, в котором каждое событие характеризуется четырьмя координатами (х, у, z, t),такой физической величиной является интервал между двумя событиями:
(38.1)
где
— расстояние между точками трехмерного пространства, в которых эти события произошли. Введя обозначение t 12 = t 2 – t 1, получим

Покажем, что интервал между двумя событиями одинаков во всех инерциальных системах отсчета. Обозначив D t = t 2 – t 1, D x = x 2 – x 1, D y = y 2 – y 1 и D z = z 2 – z 1, выражение (38.1) можно записать в виде


Интервал между теми же событиями в системе К' равен
(38.2)
Согласно преобразованиям Лоренца (36.3),

Подставив эти значения в (38.2), после элементарных преобразований получим, что
т. е.

Обобщая полученные результаты, можно сделать вывод, что интервал, определяя пространственно-временные соотношения между событиями, является инвариантом при переходе от одной инерциальной системы отсчета к другой. Инвариантность интервала означает, что, несмотря на относительность длин и промежутков времени, течение событий носит объективный характер и не зависит от системы отсчета.
Теория относительности, таким образом, сформулировала новое представление о пространстве и времени. Пространственно-временные отношения являются не абсолютными величинами, как утверждала механика Галилея — Ньютона, а относительными. Следовательно, представления об абсолютном пространстве и времени являются несостоятельными. Кроме того, инвариантность интервала между двумя событиями свидетельствует о том, что пространство и время органически связаны между собой и образуют единую форму существования материи — пространство-время. Пространство и время не существуют вне материи и независимо от нее.
Дальнейшее развитие теории относительности (общая теория относительности, или теория тяготения) показало, что свойства пространства-времени в данной области определяются действующими в ней полями тяготения. При переходе к космическим масштабам геометрия пространства-времени не является евклидовой (т. е. не зависящей от размеров области пространства-времени), а изменяется от одной области к другой в зависимости от концентрации масс в этих областях и их движения.
§ 39. Основной закон релятивистской динамики материальной точки
Масса движущихся релятивистских частиц зависит от их скорости:
(39.1)
где m 0 — масса покоя частицы, т. е. масса, измеренная в той инерциальной системе отсчета, относительно которой частица находится в покое; с — скорость света в вакууме; т — масса частицы в системе отсчета, относительно которой она движется со скоростью v. Следовательно, масса одной и той же частицы различна в разных инерциальных системах отсчета.

Из принципа относительности Эйнштейна (см. § 35), утверждающего инвариантность всех законов природы при переходе от одной инерциальной системы отсчета к другой, следует условие инвариантности уравнений физических законов относительно преобразований Лоренца. Основной закон динамики Ньютона

оказывается также инвариантным по отношению к преобразованиям Лоренца, если в нем справа стоит производная по времени от релятивистского импульса.
Основной закон релятивистской динамики материальной точки имеет вид
(39.2)
или
(39.3)
где
(39.4)
— релятивистский импульс материальной точки.
Отметим, что уравнение (39.3) внешне совпадает с основным уравнением ньютоновской механики (6.7). Однако физический смысл его другой: справа стоит производная по времени от релятивистского импульса, определяемого формулой (39.4). Таким образом, уравнение (39.2) инвариантно по отношению к преобразованиям Лоренца и, следовательно, удовлетворяет принципу относительности Эйнштейна. Следует учитывать, что ни импульс, ни сила не являются инвариантными величинами. Более того, в общем случае ускорение не совпадает по направлению с силой.
В силу однородности пространства (см. § 9) в релятивистской механике выполняется закон сохранения релятивистского импульса: релятивистский импульс замкнутой системы сохраняется, т. е. не изменяется с течением времени. Часто вообще не оговаривают, что рассматривают релятивистский импульс, так как если тела движутся со скоростями, близкими к с, то можно использовать только релятивистское выражение для импульса.
Анализ формул (39.1), (39.4) и (39.2) показывает, что при скоростях, значительно меньших скорости с, уравнение (39.2) переходит в основной закон (см. (6.5)) классической механики. Следовательно, условием применимости законов классической (ньютоновской) механики является условие v<<c. Законы классической механики получаются как следствие теории относительности для предельного случая v<<c (формально переход осуществляется при с ®¥). Таким образом, классическая механика — это механика макротел, движущихся с малыми скоростями (по сравнению со скоростью света в вакууме).
Экспериментальное доказательство зависимости массы от скорости (39.1) является подтверждением справедливости специальной теории относительности. В дальнейшем (см. § 116) будет показано, что на основании этой зависимости производятся расчеты ускорителей.
§ 40. Закон взаимосвязи массы и энергии
Найдем кинетическую энергию релятивистской частицы. Раньше (§ 12) было показано, что приращение кинетической энергии материальной точки на элементарном перемещении равно работе силы на этом перемещении:
(40.1)
Учитывая, что dr = v d t, и подставив в (40.1) выражение (39.2), получаем

Преобразовав данное выражение с учетом того, что vdv = v d v, и формулы (39.1), придем к выражению
(40.2)
т. е. приращение кинетической энергии частицы пропорционально приращению ее массы.
Так как кинетическая энергия покоящейся частицы равна нулю, а ее масса равна массе покоя m 0, то, проинтегрировав (40.2), получим
(40.3)
или кинетическая энергия релятивистской частицы имеет вид
(40.4)
Выражение (40.4) при скоростях v«c переходит в классическое:

(разлагая в ряд
при v << c, правомерно пренебречь членами второго порядка малости).
А. Эйнштейн обобщил положение (40.2), предположив, что оно справедливо не только для кинетической энергии частицы, но и для полной энергии, а именно любое изменение массы D m сопровождается изменением полной энергии частицы,
(40.5)
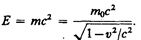
Отсюда А. Эйнштейн пришел к универсальной зависимости между полной энергией тела Е и его массой т:
(40.6)
Уравнение (40.6), равно как и (40.5), выражает фундаментальный закон природы — закон взаимосвязи (пропорциональности) массы и энергии: полная энергия системы равна произведению ее массы на квадрат скорости света в вакууме. Отметим, что в полную энергию Е не входит потенциальная энергия тела во внешнем силовом поле.
Закон (40.6) можно, учитывая выражение (40.3), записать в виде


откуда следует, что покоящееся тело (T =0) также обладает энергией

называемой энергией покоя. В классической механике энергия покоя Е 0 не учитывается, считая, что при v =0 энергия покоящегося тела равна нулю.
В силу однородности времени (см. § 13) в релятивистской механике, как и в классической, выполняется закон сохранения энергии: полная энергия замкнутой системы сохраняется, т. е. не изменяется с течением времени.
Из формул (40.6) и (39.4) найдем релятивистское соотношение между полной энергией и импульсом частицы:
(40.7)
Возвращаясь к уравнению (40.6), отметим еще раз, что оно имеет универсальный характер. Оно применимо ко воем формам энергии, т. е. можно утверждать, что с энергией, какой бы формы она ни была, связана масса
(40.8)
и, наоборот, со всякой массой связана энергия (40.6).
Чтобы охарактеризовать прочность связи и устойчивость системы каких-либо частиц (например, атомного ядра как системы из протонов и нейтронов), вводят понятие энергии связи. Энергия связи системы равна работе, которую необходимо затратить, чтобы разложить эту систему на составные части (например, атомное ядро — на протоны и нейтроны). Энергия связи системы
(40.9)
где m 0 i — масса покоя i -й частицы в свободном состоянии; М 0 — масса покоя системы, состоящей из п частиц.
Закон взаимосвязи (пропорциональности) массы и энергии блестяще подтвержден экспериментом о выделении энергии при протекании ядерных реакций. Он широко используется для расчета энергетических эффектов при ядерных реакциях и превращениях элементарных частиц.
Рассматривая выводы специальной теории относительности, видим, что она, как, впрочем, и любые крупные открытия, потребовала пересмотра многих установившихся и ставших привычными представлений. Масса тела не остается постоянной величиной, а зависит от скорости тела; длина тел и длительность событий не являются абсолютными величинами, а носят относительный характер; наконец, масса и энергия оказались связанными друг с другом, хотя они и являются качественно различными свойствами материи.
Основной вывод теории относительности сводится к тому, что пространство и время органически взаимосвязаны и образуют единую форму существования материи — пространство-время. Только поэтому пространственно-временной интервал между двумя событиями является абсолютным, в то время как пространственные и временны2е промежутки между этими событиями относительны. Следовательно, вытекающие из преобразований Лоренца следствия являются выражением объективно существующих пространственно-временны2х соотношений движущейся материи.
Задачи
7.1. Определить собственную длину стержня (длину, измеренную в системе, относительно которой стержень покоится), если в лабораторной системе (системе отсчета, связанной с измерительными приборами) его скорость v = 0,8 с, длина l = 1 м и угол между ним и направлением движения q = 30°.

7.2. Собственное время жизни частицы отличается на 1,5% от времени жизни по неподвижным часам. Определить b = v / с. [0,172]
7.3. Тело, масса покоя которого 2 кг, движется со скоростью 200 Мм/с в системе K', перемещающейся относительно системы К со скоростью 200 Мм/с. Определить: 1) скорость тела относительно системы К; 2) его массу в этой системе. [1) 277 Мм/с; 2) 5,2 кг]
7.4. Воспользовавшись тем, что интервал — инвариантная величина по отношению к преобразованиям координат, определить расстояние, которое пролетел p-мезон с момента рождения до распада, если время его жизни в этой системе отсчета D t = 5 мкс, а собственное время жизни (время, отсчитанное по часам, движущимся вместе с телом) D t 0 =2,2 мкс. [1,35 км]
7.5. Определить скорость, при которой релятивистский импульс частицы превышает ее ньютоновский импульс в пять раз. [0,98 с]
7.6. Определить скорость, полученную электроном, если он прошел ускоряющую разность потенциалов 1,2 МэВ. [2,86 Мм/с]
7.7. Определить релятивистский импульс электрона, кинетическая энергия которого 1 ГэВ. [5,34×10–19 Н×с]
2 ОСНОВЫ МОЛЕКУЛЯРНОЙ ФИЗИКИ И ТЕРМОДИНАМИКИ
Глава 8 Молекулярно-кинетическая теория идеальных газов
§ 41. Статистический и термодинамический методы. Опытные законы идеального газа
Статистический и термодинамический методы исследования. Молекулярная физика и термодинамика — разделы физики, в которых изучаются макроскопические процессы в телах, связанные с огромным числом содержащихся в телах атомов и молекул. Для исследования этих процессов применяют два качественно различных и взаимно дополняющих друг друга метода: статистический (молекулярно-кинетический) и термодинамический. Первый лежит в основе молекулярной физики, второй — термодинамики.
Молекулярная физика — раздел физики, изучающий строение и свойства вещества исходя из молекулярно-кинетических представлений, основывающихся на том, что все тела состоят из молекул, находящихся в непрерывном хаотическом движении.
Идея об атомном строении вещества высказана древнегреческим философом Демокритом (460—370 до н. э.). Атомистика возрождается вновь лишь в XVII в. и развивается в работах М. В. Ломоносова, взгляды которого на строение вещества и тепловые явления были близки к современным. Строгое развитие молекулярной теории относится к середине XIX в. и связано с работами немецкого физика Р. Клаузиуса (1822—1888), Дж. Максвелла и Л. Больцмана.
Процессы, изучаемые молекулярной физикой, являются результатом совокупного действия огромного числа молекул. Законы поведения огромного числа молекул, являясь статистическими закономерностями, изучаются с помощью статистического метода. Этот метод основан на том, что свойства макроскопической системы в конечном счете определяются свойствами частиц системы, особенностями их движения и усредненными значениями динамических характеристик этих частиц (скорости, энергии и т. д.). Например, температура тела определяется скоростью хаотического движения его молекул, но так как в любой момент времени разные молекулы имеют различные скорости, то она может быть выражена только через среднее значение скорости движения молекул. Нельзя говорить о температуре одной молекулы. Таким образом, макроскопические характеристики тел имеют физический смысл лишь в случае большого числа молекул.
Термодинамика — раздел физики, изучающий общие свойства макроскопических систем, находящихся в состоянии термодинамического равновесия, и процессы перехода между этими состояниями. Термодинамика не рассматривает микропроцессы, которые лежат в основе этих превращений. Этим термодинамический метод отличается от статистического. Термодинамика базируется на двух началах — фундаментальных законах, установленных в результате обобщения опытных данных.
Область применения термодинамики значительно шире, чем молекулярно-кинетической теории, ибо нет таких областей физики и химии, в которых нельзя было бы пользоваться термодинамическим методом. Однако, с другой стороны, термодинамический метод несколько ограничен: термодинамика ничего не говорит о микроскопическом строении вещества, о механизме явлений, а лишь устанавливает связи между макроскопическими свойствами вещества. Молекулярно-кинетическая теория и термодинамика взаимно дополняют друг друга, образуя единое целое, но отличаясь различными методами исследования.
Термодинамика имеет дело с термодинамической системой — совокупностью макроскопических тел, которые взаимодействуют и обмениваются энергией как между собой, так и с другими телами (внешней средой). Основа термодинамического метода — определение состояния термодинамической системы. Состояние системы задается термодинамическими параметрами (параметрами состояния) — совокупностью физических величин, характеризующих свойства термодинамической системы. Обычно в качестве параметров состояния выбирают температуру, давление и удельный объем.
Температура — одно из основных понятий, играющих важную роль не только в термодинамике, но и в физике в целом. Температура — физическая величина, характеризующая состояние термодинамического равновесия макроскопической системы. В соответствии с решением XI Генеральной конференции по мерам и весам (1960) в настоящее время можно применять только две температурные шкалы — термодинамическую и Международную практическую, градуированные соответственно в кельвинах (К) и в градусах Цельсия (°С). В Международной практической шкале температура замерзания и кипения воды при давлении 1,013×105 Па соответственно 0 и 100°С (реперные точки).
Термодинамическая температурная шкала определяется по одной реперной точке, в качестве которой взята тройная точка воды (температура, при которой лед, вода и насыщенный пар при давления 609 Па находятся в термодинамическом равновесии). Температура этой точки по термодинамической шкале равна 273,16 К (точно). Градус Цельсия равен кельвину. В термодинамической шкале температура замерзания воды равна 273,15 К (при том же давлении, что и в Международной практической шкале), поэтому, по определению, термодинамическая температура и температура по Международной практической шкале связаны соотношением
Т = 273,15 + t.
Температура T = 0 К называется нулем кельвин. Анализ различных процессов показывает, что 0 К недостижим, хотя приближение к нему сколь угодно близко возможно.
Удельный объем v — это объем единицы массы. Когда тело однородно, т. е. его плотность r = const, то v=V/m= 1 /p. Так как при постоянной массе удельный объем пропорционален общему объему, то макроскопические свойства однородного тела можно характеризовать объемом тела.
Параметры состояния системы могут изменяться. Любое изменение в термодинамической системе, связанное с изменением хотя бы одного из ее термодинамических параметров, называется термодинамическим процессом. Макроскопическая система находится в термодинамическом равновесии, если ее состояние с течением времени не меняется (предполагается, что внешние условия рассматриваемой системы при этом не изменяются).






