Показатели, характеризующие эффективность использования основных производственных фондов

Показатели качественного использования основных фондов условно делятся на две группы: стоимостные и натуральные.

Среди первой группы показателей можно выделить:

• "фондоемкость" (Фе) - показывает величину основных производственных фондов, приходящуюся на один рубль товарной или реализованной продукции. Фондоемкость по отношению к реализованной продукции (РП) определяется:

,

где ОПФсг - среднегодовая стоимость основных производственных фондов, руб.

• "фондовооруженность" (Фв), руб./чел., которая показывает сумму основных производственных фондов, приходящуюся на одного рабочего, работающего или работника промышленно-производственного персонала предприятия. Фондовооруженность в расчете на одного работника промышленно-производственного персонала (ЧППП) определяется:

.

• "фондоотдачу" (Фо), показатель, обратный показателю "фондоемкость", который показывает отдачу в виде выпуска или реализации продукции от использования каждого рубля основных производственных фондов. Фондоотдача по реализованной продукции, руб./руб., определяется:

.

Уровень фондоотдачи в целом по ЛПК в сопоставимых ценах снизился с 1,01 в 1990 г до 0,48 в 1996 г и 0,61 в 1998 г. В настоящее время уровень фондоотдачи ведущих предприятий ЛПК превышает единицу. Например, уровень фондоотдачи Светогорского ЦБК свыше 1, 4.

Показатель фондоотдачи широко используется при анализе результатов деятельности предприятия. Повышение фондоотдачи ведет к снижению суммы амортизационных отчислений, относительной экономии капитальных вложений, относительному высвобождению работников, приросту прибыли.

Например. Стоимость основных производственных фондов - 120 млн ед., объем реализованной продукции - 138 млн ед., среднегодовая выработка продукции на одного работающего - 500 тыс. ед., средняя по предприятию норма амортизационных отчислений - 7%, норма прибыли в каждом рубле реализованной продукции – 0,20 ед. Необходимо проанализировать результаты деятельности предприятия при увеличении показателя фондоотдачи на 0,10 ед.

До роста показателя фондоотдачи После роста показателя фондоотдачи
Фо0 =138 / 120=1,15 Фо1 = 1,25
РП0 = 138 млн ед. РП1 = 150 млн ед.
Фе =120/ 138=0,87 Фе =120/150 = 0,80

Результаты:

1.Прирост реализованной продукции. Зависимость объема реализации (выпуска) продукции от показателя фондоотдачи описывает факторная модель:

РП = ОПФ∙Фо.

Отсюда: РП1 = ОПФ0· Фо1 = 150 млн ед.; ΔРП = 12 млн.ед.

2. Изменение фондоемкости в динамике показывает изменение стоимости ОПФ на один рубль продукции и применяется при определении суммы относительного перерасхода или экономии средств в основные фонды (Э):

Э = (Фе1 – Ф е0) . РП1,

где Фе1 и Фе0 – фондоемкость отчетного и базисного периода соответственно;

Относительная экономия капитальных вложений в прирост объемов реализации:

(0,87-0,80)∙150=10,5 млн ед.

Относительная экономия капитальных вложений показывает, что базовый уровень реализованной продукции в 138 млн руб. при увеличении показателя фондоотдачи мог быть достигнут при величине ОПФ не 120, а 109,5 млн ед.

3. Относительное высвобождение работников за счет лучшего использования фондов: (150 - 138): 0,50 = 24 чел.

4. Снижение себестоимости продукции за счет амортизационных отчислений:

10,5∙0,07= 0,7 млн ед.

5. Прирост прибыли за счет увеличения показателя фондоотдачи:

(150 - 138) ∙ 0,2= 2,4 млн ед.

Формулу фондоотдачи можно представить по-другому:

,

где первая дробь есть выработка на одного работающего, вторая – фондовооруженность труда.

Приведенное выражение показывает влияние производительности и фондовооруженности труда на показатель фондоотдачи. Фондоотдача увеличивается при условии, если темпы роста выработки опережают темпы роста фондовооруженности труда.

При комплексном анализе использования основных производственных фондов на предприятии также рассчитываются частные показатели:

коэффициент выбытия фондов (Квыб)

.

коэффициент обновления фондов (Кобн)

,

где ОПФкг - стоимость фондов на конец года, руб.

• коэффициент износа (Кизн)

,

где ∑ АО - сумма начисленных амортизационных отчислений на момент расчета со дня ввода фондов в эксплуатацию, руб.; ОПФ - стоимость основных фондов на момент исчисления коэффициента, руб.

Для оценки эффективности использования машин и оборудования, как активной части основных фондов, рассчитывают показатели:

− коэффициент экстенсивной (по времени) загрузки оборудования (Кэ)

,

где Тф.об. и Тплан.об. - фактический и плановый фонды времени работы оборудования, ч;

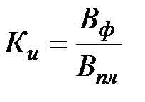
− коэффициент интенсивной (по производительности) загрузки оборудования (Ки)

,

где Вф и Впл - фактическая средняя и плановая (паспортная) выработка продукции в расчете на один машино-час работы оборудования;

− интегральный коэффициент использования оборудования (Кинт)

.

Эффективность использования фондов характеризуется, кроме того, структурой фондов, в том числе: производственной (распределение фондов между основными и обслуживающими производствами предприятия); технологической (соотношение между активной и пассивной частью фондов); возрастной (по срокам службы).






Подборка статей по вашей теме: