К основным показателям, характеризующим движение рабочей силы, относятся:
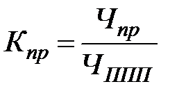
− коэффициент оборота по приему (Кпр). Считается как отношение числа принятых работников за период (Чпр) к среднесписочному числу работающих за тот же период (ЧППП):
.
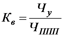
− коэффициент оборота по выбытию (Кв) считается как отношение количества уволившихся работников (Чу) к среднесписочному числу работающих:
.
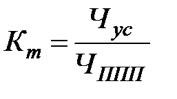
− коэффициент текучести кадров (Кт) считается как отношение количества уволившихся работников по собственному желанию и уволенных за нарушения трудовой дисциплины (Чус) к среднесписочному числу работающих:
.
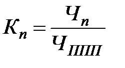
− коэффициент постоянства состава персонала предприятия (Кп). Считается как отношение количества работников, проработавших весь отчетный год (Чп), к среднесписочному числу работающих:
.






