Варианты формирования кредитных издержек зависят от способа погашения кредита и начисления процентов за пользование кредитом. Рассмотрим на примере три случая формирования кредитных издержек.
Например. В конце годаТ0 получен кредит в сумме 100 тыс. руб. на 3 года под 10 процентов годовых. Оценить кредитные издержки при различных вариантах заключения кредитного договора.
Вариант1: договор предусматривает регулярную выплату процентов в конце каждого года. Погашение кредита в конце срока кредитования.
Формирование кредитных издержек, тыс. руб.
| Наименование позиций | Т0 | Т1 | Т2 | Т3 | Всего |
| Получение кредита | 100 | - | - | - | - |
| Проценты за кредит | - | 10 | 10 | 10 | 30 |
| Погашение кредита | - | - | - | 100 | 100 |
| Кредитные издержки | - |
Вариант 2: кредит погашается равными частями, а начисление процентов производится на оставшуюся непогашенной часть кредита.
Формирование кредитных издержек, тыс. руб.
| Наименование позиций | Т0 | Т1 | Т2 | Т3 | Всего |
| Получение кредита | 100 | - | - | - | - |
| Погашение кредита | - | 33,3 | 33,3 | 33,4 | 100 |
| Непогашенная часть кредита | - | 66,7 | 33,4 | - | - |
| Проценты за кредит | - | 6,7 | 3,3 | - | 10 |
| Кредитные издержки | - | 36,6 | 33,4 |
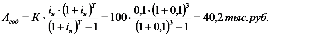
Вариант 3: погашение кредита и начисленные проценты выплачиваются равными суммами в течение всего периода кредитования.
|
|
|
Сумма равномерных выплат (аннуитет- Агод) рассчитывается:

Кредитные издержки за три года оцениваются в сумму 120,6 тыс. руб.
Как видно из приведенного примера, предприятие может сознательно идти на увеличение суммы кредитных издержек, отдаляя сроки погашения кредита, что актуально в период строительства новых предприятий, крупных работ по реконструкции (вариант 1).
Наименьшая сумма кредитных издержек получается по второму варианту учета, при этом наибольшие годовые суммы издержек формируются по году, следующему за годом получения кредита, со снижением их в динамике.
Тема 8. Предприятие как объект управления






