Фенолформальдегидные смолы получают конденсацией фенола с формальдегидом, который сначала присоединяется к фенолу с образованием метилопроизводных. Поликонденсация метилопроизводных протекает с отщеплением воды. При соотношении фенола и формальдегида 7:6 в присутствии кислого катализатора образуется линейный полимер с молекулярным весом ≈ 1300, называемый новолаком.

Новолаки применяют для производства лаков и прессовочных порошков.
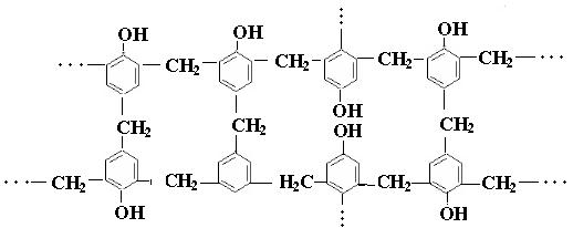
При действии формальдегида на поли-α-метиленоксифенилен или при поликонденсации фенола с избытком формальдегида получаются разветвленные полимеры – резолы:

или пространственные полимеры – резиты:

При хранении или при нагревании резолы легко переходят в резиты с соответствующим изменением свойств полимера. Резолы применяются при производстве пластмасс в смеси с наполнителями для формования различных изделий, а также для изготовления слоистых пластиков из ткани или бумаги, пропитанной резолом. В процессе производства резолы превращаются в резиты, и полученные изделия применяются в электротехнике, в машиностроении и для других целей.






