Роликовое устройство является наиболее ответственной частью механизма подачи. Основными параметрами роликового устройства являются: усилия прижатия роликов к проволоке, жесткость упругого элемента, диаметр роликов, форма поверхностей контактирующих с проволокой. Усиление, с которым роликовый механизм подает проволоку, зависит от материала, конструкции фрикционного сочленения, шероховатости поверхности и компоновки механизма. С возрастанием сжимающей силы возрастает усилие подачи, однако сжимающая сила не может возрастать беспредельно. т. к. это приводит к деформации проволоки вплоть до ее сплющивания (особенно порошковой проволоки) и к значительным потерям мощности в редукторе. Поэтому конструкция механизма подачи должна обеспечивать повышенный коэффициент сцепления между роликами и проволокой. [4]
Упругий элемент роликового устройства представляет собой, как правило, витую цилиндрическую пружину.
Пружины разделяются в зависимости от вида нагружения и выносливости на три класса (1. 2, 3). Каждый класс в зависимости от максимальной силы, нагружающей пружину, разделяется на разряды, которые в свою очередь различаются по маркам стали, и диаметром проволоки. Стандарты регламентируют размеры витков пружины и силовые характеристики ее I зависимости от класса и разряда.
Размеры пружин сжатия определяются в соответствии с конструкцией роликового устройства. Пружины изготавливаются из круглой холоднотянутой проволоки по ГОСТ 938-75. ГОСТ 14963-78 из сталей с содержанием углерода 0.50-0.85%.

На рис. 1 показана пружина высотой в свободном состоянии, средний диаметр пружины Д. Для обеспечения продольной устойчивости (2.5-3) Д. При большей высоте применяют направляющие стержни или гильзы.
Пружины рассчитывают по напряжениям кручения sт. которое для пружин с проволокой круглого сечения определяют по зависимости |2].

где d - диаметр проволоки, мм: F2 - наибольшая рабочая сила, действующая на пружину.
Н:- индекс пру жины: Д - средний диаметр пружины,
мм: К„- коэффициент. учитывающий кривизну витков.

Величину индекса пружины выбирают в зависимости от диаметра проволоки |2|




В пружинах сжатия имеются опорные витки с каждого края. плоские опорные поверхности их шлифуются. При определении деформации опорные витки не учитываются. Шаг пружины (рис. I) в недогруженном состоянии получают из условия, что при соприкосновении витков пружины напряжения в них равны (1.2 -1.2)[т]
При расчете пружины роликового устройства принимаем величину номинальной рабочей силы равной силе прижатия ролика к проволоке. Исходя из применяющихся в большинстве сварочных автоматах полуавтоматов конструкции роликовых устройств средний диаметр пружины назначается равным Д = 15-20 мм.
Материал пружины выбирается по табл. 3

Затем задаемся индексом пружины с= 10 и определяем коэффициент К. учитывающий кривизну вит ков, и диаметр проволоки. Определяем диаметр проволоки:

где [т] = 0.46в допускаемое напряжение кручения
По ряду номинальных диаметров по табл. 1 и 2 выбираем ближайший большой. Уточняем индекс пружины С:

Число рабочих витков определяем из условия, что сила на пружине должна изменятся от начальной установочной до максимальной N4av Величину выбирают в зависимости от назначения пружины в процентах от FMax Пружины сжатия навивают открытой навивкой с просветом между витками на 10 — 20% больше упругих расчетных осевых перемещений каждого витка при максимальных рабочих нагрузках. (См. ГОСТ 13764 - 86 ГОСТ 13776 - 86 на винтовые цилиндрические пружины сжатия и растяжения).
Характер нагрузки примем средний, т.е. умеренные колебания нагрузки. Максимальная кратковременная нагрузка до 150% от номинальной и пытана колебаниями диаметра электродной проволоки и другими дефектами её поверхности. Полное число витков с учетом опорных витков
Zn = Zp+(1,5-2) (21)
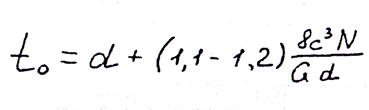
Высота пружины при максимальной деформации (витки соприкасаются)
Податливость пружины

Высота пружины при силе
Высота пружины при силе
Шаг пружины в свободном состоянии 5