В развитом рыночном хозяйстве земля становится предметом купли-продажи. Что же в этом случае лежит в основе цены на земли?
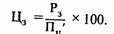
При продаже земли ее собственник заботится о том, чтобы не потерять получаемый им рентный доход. Он, по-видимому, стремится получить за участок по крайней мере такую сумму денег, которая, будучи помещена в банк, принесла бы ему годовую величину процента, равную ренте. В свою очередь, покупатель земли, прежде чем стать ее собственником, сравнивает приносимую землей сумму ренты с процентом, который он может получить, если положит свои деньги в банк. Стало быть, цена земли есть капитализированная (превращенная в денежный капитал) рента. Цена земли (Цз) прямо пропорциональна величине ренты (Рз) и обратно пропорциональна ставке депозитного процента (Пц'):

При неизменном рентном доходе цены на землю могут возрастать, когда снижается ставка процента
На рыночную цену земли определенное влияние оказывает соотношение предложения и спроса на данный товар.

Показано, что происходит с ценой при сокращении земельных угодий, являющихся объектом купли-продажи на рынке земли, и при увеличении спроса на нее. Во многих случаях кривая предложения является строго фиксированной и принимает вертикальное положение, поскольку не изменяется под воздействием спроса. Первоначально эта кривая (П1 - П2) пересекается с кривой спроса (С1-С2) в равновесной точке Р1;, что приводит к образованию цены земли Ц1;. Однако при уменьшении количества земли с З1 до З2 кривая предложения (П3-П4) пересекается с кривой спроса в равновесной точке Р2, вследствие чего цена земли повышается с уровня Ц1 до уровня Ц2






