Мультипликатор сбалансированного бюджета (Balanced budget multiplier) – это показатель, отражающий изменение объема выпуска в результате изменения государственных расходов и налоговых поступлений, которые в свою очередь меняются на одну и ту же величину (ΔT = ΔG).
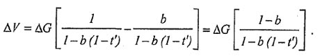
Увеличение расходов государства увеличит объем выпуска, а увеличение налогов снизит его. Но так как мультипликационный эффект от увеличения налогов слабее эффекта мультипликатора госрасходов, то действие мультипликатора сбалансированного бюджета приведет к росту объема выпуска (ΔV). Иначе говоря, эффект мультипликатора сбалансированного бюджета равен разности действия мультипликатора госрасходов и налогового мультипликатора:

Допустим, что ΔG = ΔT = 100 ед., b = 0,75, t' = 0,2.
Тогда:

Сочетание двух названных эффектов обеспечивает, по мнению ряда экономистов, сильный стимулирующий эффект от увеличения государственных расходов, а увеличение налогов становится мягкой ограничительной мерой для сдерживания инфляции. Но данная модель не учитывает эффекта вытеснения (вытеснения государственными расходами частных).






