Таблица 1.1
| Номер вопроса, задания | Вопросы, задания | Номер правильного ответа |
| 1. | В чём суть явления электризации тел? | |
| 2. | Сформулируйте закон сохранения заряда. | |
| 3. | Выполните математическую запись закона сохранения заряда. | |
| 4. | Дайте определение точечного заряда. | |
| 5. | Тело потеряло 20 Кл положительного заряда. Какой заряд в кулонах приобрело это тело? | |
| 6. | Тело прибрело 10 Кл отрицательного заряда и 10 Кл положительного заряда. Какой результирующий заряд в кулонах приобрело это тело? | |
| 7. | В чём суть явления взаимодействия заряженных тел? | |
| 8. | Посредством чего взаимодействуют заряды? | |
| 9. | Сформулируйте закон взаимодействия заряженных тел. | |
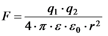
| 10. | Выполните математическую запись закона Кулона. | |
| 11. | Укажите единицы физических величин, описывающих закон Кулона. | |
| 12. | В электрическое поле положительного точечного заряда q1 = 40 Кл внесли малый пробный заряд q2 = 4π × 8,85 × 10-12 Кл. Среда, в которой находятся заряды, имеет относительную диэлектрическую проницаемость ε = 20. Заряды находятся на расстоянии 0,1 м. Определить силу в ньютонах, действующую на пробный заряд. |
При правильном выполнении задания
-
= 10.
|
|
|
Таблица 1.1а
| Номер ответа | ответЫ |
.
| |
| 200. | |
| Посредством электрического поля, которое существует вокруг них и представляет собой особую форму материи. | |
| [ F ] = H; [ q ] = Кл; [ r ] = м; [ e0 ] = Ф/м. | |
| 0. | |
| - 20. | |
| Между заряженными телами существуют силы притяжения или отталкивания: тела, имеющие заряд одного знака, отталкиваются; а тела, имеющие заряд разного знака, притягиваются. | |
| q1 + q2 + … + qn = const. | |
| Два неподвижных точечных электрических заряда взаимодействуют с силой прямо пропорциональной произведению этих зарядов и обратно пропорциональной квадрату расстояния между ними и диэлектрической проницаемости среды. | |
| В потере или приобретении телом некоторого количества электронов. | |
| Заряженное тело, размерами которого в данных условиях можно пренебречь. | |
| Алгебраическая сумма зарядов системы не изменяется со временем. |
.






