Для количественного описания поля в диэлектриках внесем диэлектрик в однородное электростатическое поле. Поле создается двумя бесконечными равномерно заряженными плоскостями. Пластинка из однородного диэлектрика расположена как на рис. 2.4.
Заряды, входящие в состав диполей диэлектриков, называются связанными. Под действием электрического поля они не могут покинуть пределов молекулы, в состав которой входят, а лишь смещаются из своих положений равновесия. Поляризация диэлектриков сопровождается появлением поверхностных зарядов на его границах.
В тех местах, где линии напряженности выходят из диэлектрика, на поверхности возникают положительные связанные заряды, то есть положительные заряды смещаются по полю, отрицательные –против поля (рис. 2.4) Таким образом, на правой грани диэлектрика, обращенного к отрицательной плоскости, будет избыток положительного заряда с поверхностной плотностью (+
), а на левой – избыток отрицательного заряда с поверхностной плотностью (–
). Плотность связанных зарядов определяет поляризованность диэлектрика:
.
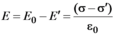
Таким образом, появление нескомпенсированных поверхностных связанных зарядов приводит к возникновению внутри диэлектрика дополнительного электрического поля с напряженностью
(поле, созданное двумя бесконечными заряженными плоскостями, т.е. гранями), которое направлено против внешнего поля и ослабляет его
. (2.4)
Внешнее поле – это поле, созданное свободными зарядами, в данном случае бесконечными заряженными пластинами.
Напряженность внешнего поля определяется по формуле
. (2.5)
Результирующая напряженность поля внутри диэлектрика равна:

или в скалярном виде с учетом направления
. (2.6)
Напряженность электрического поля определяется всеми зарядами: и сторонними
, и связанными
. С учетом (2.4) и (2.5) можно записать
.
электри́ческое смеще́ние) — векторная величина, равная сумме вектора напряжённости электрического поля и вектора поляризации.
В СИ:
.
В СГС:
.
Величина электрической индукции в системе СГС измеряется в СГСЭ или СГСМ единицах, а в СИ — в кулонах на м² (L−2TI). В рамках СТО векторы
и
объединяются в единый тензор, аналогичный тензору электромагнитного поля.
60Электроемкость*
— Это отношение количества электричества, имеющегося на каком-либо проводящем теле, к величине потенциала этого тела при условии, что все проводящие тела, находящиеся вблизи этого тела, соединены с землей. Обозначая Э. тела через С, заряд на теле через Q и потенциал через V, имеем C = Q/V.
Практической единицей Э. принимается ныне фарада или, еще чаще, миллионная доля фарады, называемая микрофарадой. Фарада обозначается обыкновенно через F, микрофарада — через μ F. Фарада — это электроемкость такого тела, в котором при потенциале равном 1 вольту, содержится один кулон электричества.
Для сравнения электроемкостей тел существует несколько способов. Упомянем только о трех, наиболее часто употребляемых.
В настоящее время имеются ящики электроемкостей, т. е. ящики, содержащие в себе конденсаторы различных электроемкостей, долей микрофарады, а также целых микрофарад, которые можно комбинировать в желаемые группы. Сами конденсаторы изготовляются из тонких листов олова (станиоль), отделенных друг от друга листами парафинированной бумаги, и заливаются парафином.
Различные типы конденсаторов.
заряжая любой изолированный проводник, мы одновременно создаем противоположный заряд на окружающих проводниках, соединенных с Землей и образующих вместе с этим телом конденсатор. Однако емкость такого конденсатора мала. Чтобы получить большую емкость, необходимо взять проводники в виде металлических пластин, возможно близко расположенных друг к другу (так называемые обкладки конденсатора). Мы видели, что емкость плоского конденсатора прямо пропорциональна площади обкладок и обратно пропорциональна расстоянию между ними. Поэтому при большой поверхности обкладок и при тонком слое диэлектрика между ними емкость конденсатора очень велика, и на нем можно накопить («сгустить») значительные заряды даже при небольшом напряжении. Отсюда происходит и название «конденсатор» (от латинского слова condensare — сгущать).
Для увеличения емкости конденсаторы соединяют в батареи. На рис. 60 изображена батарея из четырех лейденских банок. Все внешние и все внутренние обкладки
Рис. 60. Батарея из четырех лейденских банок: 1 — стержень для зарядки внутренних обкладок, 2 — стержень для заземления внешних обкладок
Рис. 61. Конденсатор переменной емкости состоит из двух изолированных систем металлических пластин 1 и 2, которые входят друг в друга при вращении рукоятки
соединены между собой, и поэтому батарею можно рассматривать как один большой конденсатор, у которого площадь обкладок равна сумме площадей обкладок отдельных банок. Емкость батареи при таком соединении (оно называется параллельным соединением) равна сумме емкостей отдельных конденсаторов.
На рис. 61 показан конденсатор переменной емкости, широко употребляющийся в радиотехнике. Он состоит из двух изолированных систем металлических пластин, которые входят друг в друга при вращении рукоятки. Вдвигание и выдвигание одной системы пластин в другую изменяют емкость конденсатора (§ 33).
61 Энергия системы зарядов
Энергия взаимодействия системы точечных зарядов, вычисляемая по формуле (3), может быть как положительной, так и отрицательной. Например она отрицательная для двух точечных зарядов противоположного знака.
Формула (3) определяет не полную электростатическую энергию системы точечных зарядов, а только их взаимную потенциальную энергию. Каждый заряд qi, взятый в отдельности обладает электрической энергией. Она называется собственной энергией заряда и представляет собой энергию взаимного отталкивания бесконечно малых частей, на которые его можно мысленно разбить. Эта энергия не учитывается в формуле (3). Учитывается только работа затрачиваемая на сближение зарядов qi, но не на их образование.
Полная электростатическая энергия системы точечных зарядов учитывает также работу, на образование зарядов qiиз бесконечно малых порций электричества, переносимых из бесконечности. Полная электростатическая энергия системы зарядов всегда положительная. Это легко показать на примере заряженного проводника. Рассматривая заряженный проводник как систему точечных зарядов и учитывая одинаковое значение потенциала в любой точке проводника, из формулы (3) получим:
. (4)
, (3)