К диэлектрикам относятся вещества в которых нет свободных зарядов или их число настолько мало, что они не оказывают существенного влияния на их характеристики. Известно, что по сравнению с вакуумом сила взаимодействия между зарядами в диэлектрике ослабевает и поэтому в формулы электростатики вводят новую характеристику – относительную диэлектрическую проницаемость среды ε.
Параметр ε описывает ослабление силы взаимодействия
напряженности поля
, потенциальной энергии U, потенциала φ в среде (ε = F вак/ F сред). Для вакуума ε = 1, для всех сред ε > 1, но с достаточной степенью точности при проведении многих расчетов можно принять ε для газа равной единице.
Молекулы среды характеризуются электрическим дипольным моментом. Электрическим диполем называют систему двух одинаковых по величине разноименных точечных зарядов + q и – q, расстояние l между которыми значительно меньше расстояния до тех точек, в которых определяется поле системы.
- дипольный момент. Вектор
направлен по оси диполя от отрицательного заряда к положительному заряду (рис. 7.6).
|
Молекулы делятся на полярные и не полярные молекулы. У полярных молекул в отсутствие электрического поля центры тяжести положительных и отрицательных зарядов не совпадают. Такие молекулы представляют собой диполи, у которых дипольные моменты
ориентированы в пространстве при отсутствии электростатического поля произвольным образом. Электрическое поле оказывает ориентирующее действие на такие молекулы. У неполярных молекул в отсутствие электрического поля центры тяжести положительных и отрицательных зарядов совпадают, поэтому дипольный момент молекулы равен нулю. В электрическом поле неполярная молекула за счет смещения ее положительных и отрицательных зарядов приобретает дипольный момент, пропорциональный вектору
электрического поля:

где α– скалярная величина, называемая поляризуемостью молекулы.
Диэлектрик, помещенный во внешнее электрическое поле напряженности
, поляризуется – создает собственное электрическое поле напряженности
. При этом напряженность результирующего поля
будет равна

Поляризация диэлектрика сопровождается появлением на его противоположных гранях некомпенсированных связанных зарядов
, которые создают поле
. Поверхностная плотность заряда
характеризует распределение заряда
по поверхности диэлектрика.
Из рисунка 7.7 видно, что внутри происходит компенсация зарядов соседних молекул. Некомпенсированными остаются заряды молекул на противоположных гранях диэлектрика, они называются связанными зарядами, поскольку находятся внутри молекул и не могут свободно перемещаться по всему объему диэлектрика.
|
В полярном диэлектрике в отсутствие электрического поля за счет теплового движения молекул их дипольные моменты
разбросаны хаотически по всем направлениям, следовательно, диэлектрик не поляризован (рис. 7.8а). Во внешнем электрическом поле его силы стремятся установить дипольные моменты молекул вдоль поля
, чему препятствует тепловое движение молекул. За счет действия этих двух факторов наблюдается преимущественная ориентация дипольных моментов молекул вдоль поля (рис. 7.8б).

|
Для облегчения расчетов электрических полей в диэлектриках вводится понятие поляризованность
(вектор поляризации) среды. Она равна векторной сумме дипольных моментов молекул, находящихся в единице объема диэлектрика.
Опытным путем была установлена формула

где величина χ определена как диэлектрическая восприимчивость диэлектрика.
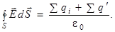
Теорема Гаусса в диэлектрике принимает вид:

Так как сумму связанных зарядов
,заключенных в выделенном объеме, трудно определить,
вводят вектор электрического смещения
ε = 1+χ.
Теорема Гаусса с введением
принимает более простой вид:

Лекция 8