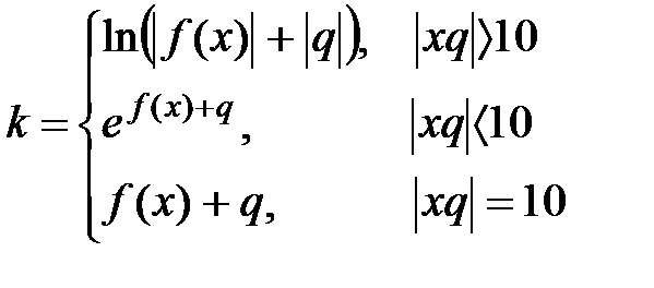
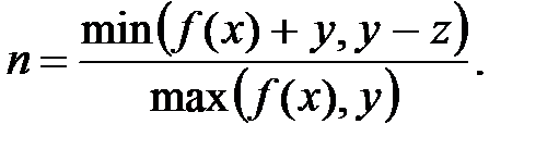
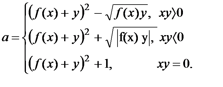
По указанию преподавателя выберите индивидуальное задание из нижеприведенного списка. В качестве f(x) использовать по выбору: sh(x), x2, ex. Отредактируйте вид формы и текст программы, в соответствии с полученным заданием.
| 1. | | 2. | |
| 3. | | 4. | |
| 5. | | 6. | |
| 7. | | 8. | |
| 9. | | 10. | |
| 11. | | 12. | |
| 13. | | 14. | |
15. 






