1. Откройте документ «Мой стиль»
2. В конце документа необходимо набрать формулы. Для создания формулы необходимо на вкладке Вставка щелкнуть вкладку ФОРМУЛА:

Откроется диалоговое окно РАБОТА С ФОРМУЛАМИ – КОНСТРУКТОР

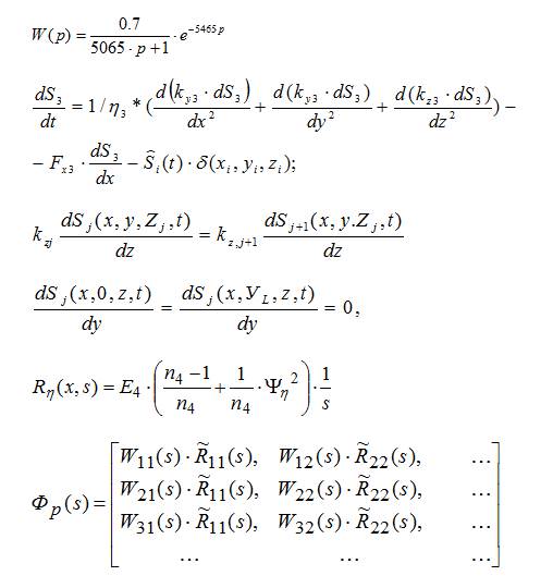
3. Используя данные вкладки необходимо набрать следующие выражения:

4. Сохраните документ.
ЛАБОРАТОРНЫЕ РАБОТЫ ПО MS WORD 2007






