Проводящие пасты состоят из мелкодисперсных порошков металлов и стеклянной фритты, диспергированных в органических связующих веществах. Органическое связующее вещество выполняет свою основную функцию в процессе нанесения пасты, а затем выгорает при ее обжиге. Комбинация основных двух компонентов пасты-металла и стекла определяет такие важные свойства как проводимость, возможность пайки, адгезия к подложке, совместимость с резистивными, диэлектрическими составами и др.
Проводниковые пасты на основе серебра СрП-V-15-0,5 и СрП-V-15-0,7 обладают высокой проводимостью (удельное поверхностное сопротивление Rпов не более 2∙10-3Ом), однако им присущи такие недостатки как миграция серебра и выщелачивание при пайке.
Высокой стабильностью и надежностью обладают пасты на основе золота, но они имеют высокую стоимость и требуют для облуживания специальных золото - оловянных припоев.
Наиболее широко применяются серебропалладиевые пасты СрПП-1, -2, -3. Наряду с высокой проводимостью (R ≤3 ∙10-2 Ом), адгезией (прочность сцепления с керамикой не менее 15-20 МПа) и хорошей облуживаемостью они совместимы с большинством резистивных и диэлектрических составов и выдерживают повышенную температуру (150 °С).
Серебряные и серебропалладиевые пасты используют для изготовления проводников, для нанесения электродов керамических конденсаторов и т.д.
Более доступными и дешевыми являются пасты на основе меди, никеля, алюминия. А так же молибден - марганцевые пасты. Медные проводниковые пасты (ПМП) имеют высокую адгезию(5 МПа) и проводимость(Rпов ≤1 0-2 Ом), хорошо паяются, адгезия медных пленок сравнима с адгезией пленок на основе золота. Пасты ПМП широко используются для формирования проводников полосковых линий передач, в схемах с многослойными соединениями, как контактный материал для некоторых типов конденсаторов.
Никелевые пасты, вжигаемые на воздухе при температуре 600–1000 °С, применяют для получения проводников в схемах с большой площадью металлизации, для межсоединений, для внутренних электродов конденсаторов, а так же для схем повышенной электрической мощности.
Большой практический интерес представляют алюминиевые проводниковые пасты АП-1 и АП-2, так как не содержат благородных металлов и способны вжигаться в обычной воздушной среде при температуре 650-900 °С. Удельное поверхностное сопротивление толстопленочных проводников на основе алюминия составляет 0,02-0,05 Ом, что соответствует проводимости Ag-Pd и Ag-Pt, адгезия - не менее 5 МПа. Пасты АП применяют для изготовления электродов некоторых керамических конденсаторов, варисторов и других радиоэлементов.
Резистивные пасты как и проводящие являются многокомпонентными композициями, содержащими резистивную фазу (оксиды или другие соединения металлов), неорганическое связующее(стекло) и временную технологическую добавку, обеспечивающую необходимый комплекс реологических свойств. Распространенными резистивными пастами для толстопленочных резисторов являются система Ag-Pd. Эти резисторы имеют значение сопротивления квадрата Rпов = 5-106 Ом и температурный коэффициент удельного сопротивления бс = -2∙10-3- +10-3 К-1.
Более дешевыми и доступными являются пасты на основе диоксида рутения либо рутенитов свинца или висмута.
Толстопленочные резисторы из этих паст обладают более высокими характеристиками как по значению бс (бс = ±1,5∙10-4 – 5∙10-4 К-1) так и по стабильности, они устойчивы к повышенной температуре и электрическим нагрузкам, а также воздействию восстановительной (водородной) среды.
В последние годы разработаны резистивные композиции, не содержащие драгоценных металлов. Это композиции на основе полупроводниковых оксидов (оксиды олова, индия, таллия, кадмия и др.) и композиции на основе тугоплавких соединений: боридов, силицидов, карбидов различных металлов. Наиболее широко в настоящее время применяются композиции на основе диоксида олова, легированного пентаоксидом сурьмы, диапазон сопротивлений резисторов на основе SnO2 составляет от 5∙ 103 до 5∙109 Ом. Несмотря на большое значение бс (~10-3К-1), по стойкости к воздействию климатических факторов и электрической нагрузки они значительно превосходят серебро - палладиевые резисторы.Некоторые типы резисторов на основе SnO2 выдерживают кратковременные воздействия электрического поля напряженностью до 3к В/мм, в то время как резисторы Ag - Pd выдерживают 20 В/мм.
1.5. Сверхпроводники и криопроводники
Сверхпроводимость это эффект внезапного, скачкообразного исчезновения электрического сопротивления постоянному электрическому току при достижении определенной критической температуры Тсв (рис 1.1). Удельное сопротивление материалов при сверхпроводимости составляет около 10-25 Ом·м, что в 1017 раз меньше удельного сопротивления меди при комнатной температуре.
Физическая природа сверхпроводимости. Явление сверхпроводимости можно объяснить только с помощью квантовых представлений. Согласно представлениям Бардина, Купера и Шиффера (теория БКШ) явление сверхпроводимости возникает в том случае, когда электроны притягиваются друг к другу. Притяжение электронов возможно только в среде, содержащей положительные ионы, поле которых ослабляет силы кулоновского отталкивания между электронами. Притягиваться могут только те электроны, которые принимают участие в электропроводности, т.е. расположенные вблизи уровня Ферми. Если такое притяжение имеет место, то электроны с противоположным направлением импульса и спина образуют пары, называемые куперовскими. Электрон, движущийся среди положительно заряженных ионов, поляризует кристаллическую решетку, т.е. электростатическими силами притягивает к себе ближайшие ионы. Благодаря этому, в окрестности траектории электрона возрастает плотность положительного заряда. Второй электрон, движущийся вслед за первым, притягивается областью с избыточным положительным зарядом. В результате косвенным образом за счет взаимодействия с решеткой между первым и вторым электронами возникают силы притяжения – образуется куперовская пара. Эффективный диаметр куперовской пары имеет порядок 10-7 м, т.е. охватывает тысячи элементарных ячеек. Эти парные образования перекрывают друг друга, постоянно распадаются и вновь создаются, но в целом все пары образуют единый коллектив или конденсат, энергия которого за счет внутреннего взаимодействия меньше чем у совокупности разобщенных нормальных электронов. Вследствие этого в энергетическом спектре сверхпроводника появляется энергетическая щель - область запрещенных энергетических состояний. Ширина энергетической щели зависит от температуры: она максимальна при абсолютном нуле и равна нулю при Т = Тсв.
Выше было показано, что электрическое сопротивление металлов обусловлено рассеянием электронов на тепловых колебания решетки и на примесях. Однако при наличии энергетической щели для перехода электронов из основного состояния в возбужденное, требуется достаточная порция тепловой энергии, которую при низких температурах электроны не могут получить от решетки, поскольку энергия тепловых колебаний меньше ширины щели. Именно поэтому спаренные электроны не рассеиваются на дефектах структуры.
При абсолютном нуле все электроны, расположенные вблизи уровня Ферми, связаны в пары. С повышением температуры за счет тепловой энергии происходит разрыв некоторой части электронных пар, вследствие чего уменьшается ширина щели. Движение неспаренных электронов, переходящих с основных уровней на возбужденные, затрудняется из-за рассеяния на дефектах решетки. При температуре Т = Тсв происходит полный разрыв всех пар, ширина щели обращается в нуль и сверхпроводимость исчезает.
Переход вещества в сверхпроводящее состояние при его охлаждении происходит в очень узком интервале температур (сотые доли градуса). Неоднородности структуры, создаваемые примесями, искажениями решетки, границами зерен, пластической деформацией и т.п. не приводят к уничтожению сверхпроводимости, а вызывают лишь расширение температурного интервала перехода (рис. 1.8.).
Другой интересной особенностью сверхпроводников является то, что они являются идеальными диамагнетиками: магнитное поле, пронизывающее проводник при температуре выше Тсв, выталкивается из него при переходе в сверхпроводящее состояние.

Рис. 1.8. Изменение удельного сопротивления олова вблизи температуры перехода в состояние сверхпроводимости: 1- монокристалл; 2- поликристалл; 3- поликристалл с примесями.
Это явление, получившее название эффекта Мейснера, обусловлено тем, что в поверхностном слое сверхпроводника при его внесении в магнитное поле возникает круговой незатухающий ток, магнитное поле которого полностью компенсирует внешнее поле в толще проводника.
Однако, если напряженность внешнего поля превысит определенное критическое значение Нсв, то сверхпроводящее состояние разрушится. Сверхпроводящее состояние можно также разрушить, пропуская через сверхпроводник ток Iсв, который создает на его поверхности магнитное поле не меньше Нсв.
В соответствии с характером перехода из сверхпроводящего состояния в нормальное при увеличении магнитного поля различают сверхпроводники I рода (Pb, Hg, In, Sn, Al) и II рода (Nb, V, Tc). В то время как сверхпроводники I рода переходят в нормальное состояние скачком, при строго определенной критической напряженности поля Нсв, у сверхпроводников II рода этот переход совершается постепенно. Для них различают нижнюю Нсв1 и верхнюю Нсв2 критические напряженности поля. В интервале между ними материал находится в промежуточном гетерогенном состоянии, в котором сосуществуют нормальная и сверхпроводящая фазы. Кривая намагничивания этих материалов показана на рис. 1.9.
Критическая напряженность магнитного поля зависит от температуры. При Т = Тсв она обращается в нуль, но монотонно возрастает при стремлении температуры к нулю градусов Кельвина.

Рис.1.9. Зависимость магнитной индукции внутри сверхпроводника от напряженности внешнего магнитного поля: а- сверхпроводник I рода; б- сверхпроводник II рода
Область промежуточного состояния у сверхпроводников II рода расширяется при понижении температуры, Нсв1 и Нсв2 могут различаться в сотни раз. Для сверхпроводников I рода Нсв1 составляет ~105А/м, а у сверхпроводников II рода Нсв2 может превышать 107А/м.
При переходе в сверхпроводящее состояние наблюдается скачкообразное изменение удельной теплоемкости. Теплопроводность при Тсв также изменяется, однако значительно меньше чем электропроводимость. Поэтому соотношение Видемана-Франца для проводника в сверхпроводящем состоянии не выполняется.
Согласно теории БКШ максимальное значение Тсв не может быть больше 30-40 К, поэтому возможность создания высокотемпературных сверхпроводников считалась маловероятной. Однако не исключены и иные механизмы сверхпроводимости, например электронный или экситонный. Как было показано выше, при образовании куперовской пары кристаллическая решетка, поляризованная электронами, выступает в роли посредника. Можно предположить, что существует другая среда, обеспечивающая сильное межэлектронное притяжение.В кристаллах могут происходить процессы, в которых на сравнительно короткое время помимо фононов появляются и другие частицы. Например, в диэлектриках при возбуждении электроны из заполненной (валентной) зоны перебрасываются в зону проводимости и становятся свободными. Однако возможно и другое течение процесса, когда возбужденный электрон не разрывает связи с дыркой, возникшей в заполненной зоне, а образует с ней единую связанную систему наподобие атома водорода. Такую систему можно рассматривать как единую частицу, называемую экситоном. Обмен экситонами, также как и обмен фононами, может приводить к притяжению между электронами.
Другое направление было предложено академиком В.Л. Гинзбургом: речь идет об осуществлении сверхпроводимости на поверхности кристалла или в тонком металлическом слое с помощью вспомогательных покрытий. При определенных условиях электроны в таком покрытии могут воздействовать на электроны в поверхностном слое металла, увеличивая их взаимное притяжение. Такой эффект может привести к значительному повышению Тсв. Наиболее обещающей с этой точки зрения является сложная структура, состоящая из тонкой металлической пленки и прилегающих к ней с обеих сторон слоев диэлектрика.
Американский физик Литтл предложил искать высокотемпературную сверхпроводимость у полимеров особой структуры. Схематически модель органического сверхпроводника, предложенная Литтлом представлена на рис. 1.10.

Рис. 1.10. Схематическая модель органического сверхпроводника.
Она состоит из длинной полимерной нити с ответвлениями по бокам. Основное в этой модели - существование двух групп электронов: электроны проводимости движутся по проводящим полимерным нитям, а электроны-посредники располагаются в боковых ответвлениях. Когда электрон проводимости проходит около ответвления, он наводит на короткое время положительный заряд на конце ответвления, примыкающего к главной нити. Другой электрон проводимости притягивается к области положительного заряда и поэтому косвенно притягивается первым электроном – картина похожая на образование кулеровских пар.
Сверхпроводящие материалы. Сверхпроводимостью обладают 26 металлов, большинство которых являются сверхпроводниками I рода со значением Тсв ниже 4.2 К. В этом заключается одна из причин того, что большинство сверхпроводящих металлов не удается применить для радиотехнических целей. Еще 13 элементов проявляют сверхпроводящие свойства при высоких давлениях (кремний, германий, селен, теллур, сурьма и др.). Следует заметить, что сверхпроводимостью не обладают металлы, являющиеся наилучшими проводниками при нормальных условиях (золото, медь, серебро). Малое сопротивление этих материалов указывает на слабое взаимодействие электронов с решеткой. Такое слабое взаимодействие не создает вблизи абсолютного нуля достаточного межэлектронного притяжения, способного преодолеть кулоновское отталкивание и сформировать куперовские пары. Поэтому и не происходит переход в сверхпроводящее состояние.
Температура перехода в сверхпроводящее состояние зависит не только от химического состава но и от модификации самого кристалла. Например, одна из модификаций висмута может быть несверхпроводящей вилоть до очень низких температур, в то время как другие модификации обнаруживают сверхпроводимость. Берилий. в свою очередь, является сверхпроводником только в тонкопленочном состоянии.
До недавнего времени перспективным сверхпроводящим материалом считается ниобий. У ниобия наивысшая температура перехода среди чистых элементов -9,2 К. Однако критические поля у ниобия все же недостаточны для его широкого применения (Всв1 = 0,16 Тл, Всв2 = 0,24 Тл), поэтому этот материал в чистом виде не всегда применим. Кроме чистых металлов сверхпроводимостью обладают многие интерметаллические сплавы и соединения. В 1961 при изучении сплава ниобия с оловом (Nb3Sn) были обнаружены уникальные сверхпроводящие свойства этого соединения. Проволока Nb3Sn оставалась в сверхпроводящем состоянии в магнитном поле индукцией В = 8,8 Тл даже в том случае, когда по ней одновременно пропускали ток плотностью 1 кА/мм2.
На сегодняшний день открыто и изучено более 2000 сверхпроводящих сплавов и интерметаллических соединений. Среди них самыми высокими критическими параметрами обладают сплавы и соединения ниобия (табл. 1. 4).Эти вещества переходят в сверхпроводящее состояние при достаточно высоких температурах и могут выдерживать достаточно сильные магнитные поля, исчисляемые десятками тесла. Велики также их критические токи. Так, при температуре 4,2 К при индукции внешнего поля 2,5 Тл для Nb-Zr критическая плотность тока составляет 1 кА/мм2; для Nb-Ti-2,5; Nb3Sn-17; V3Ga-5 кА/мм2.
Сверхпроводимость никогда не наблюдается в системах, в которых существует ферро – или антиферромагнетизм.
В полупроводниках и диэлектриках сверхпроводимости препятствует малая концентрация свободных электронов.
Таблица 1.4
Основные свойства сверхпроводящих сплавов.
| Материал | Тсв, К | Всв2, Тл при Т= 4,2 К |
| Nb-Zr | 9-11 | 7-9 |
| Nb-Ti | 8-10 | 9-13 |
| Nb3Sn | 22-25 | |
| Nb3Al1-xGex | ~20 | |
| Nb3Ga | ~20 | |
| Nb3Ge | 23,2 | |
| V3Ga | 14,5 | |
| V3Si | ||
| MexMo6Se | 10-14 | 50-60 |
Однако в материалах с высокой диэлектрической проницаемостью силы отталкивания между электронами значительно ослаблены, поэтому некоторые из них проявляют свойства сверхпроводников при низких температурах. Примером может служить титанат стронция SrTiO3, относящийся к сегнетоэлектрикам. Ряд полупроводников удается перевести в сверхпроводящее состояние добавлением легирующих примесей (GeTe, SnTe, CuS и др.).
Высокотемпературные сверхпроводники. Одной из главных научно-технических задач физики сверхпроводимости оставалось повышение Тсв, однако прогресс, достигнутый за 75 лет, был очень небольшим (рис. 1.11). В 1974 г. Слейтом были открыты новые сверхпроводящие материалы, названные латинской аббревиатурой ВРВ. Их состав – барий, свинец, висмут, кислород: BaPb – xBixO3 (0 ≤ x ≤0,3). При х = 0,25 в этой системе была достигнута Тсв = 13 К- наибольшая среди материалов, не содержащих атомов переходных и редкоземельных элементов. Кроме того, максимальная концентрация электронов в этом веществе в сотни раз меньше чем в обычных металлах. В конце 1986 г. Д.Беднорц и К.Мюллер нашли удачную замену ВРВ-элементам и впервые преодолели «неоновый барьер». Были получены сверхпроводящие керамические оксидные образцы, содержащие лантан, барий, медь, кислород со значением Тсв = 35 К. В 1987 г, на образцах иттриево – бариево – медной керамики состава YBa2Cu3O7 была достигнута температура перехода Тсв = 102 К. Иттриевые керамики полностью теряли сопротивление электрическому току при температуре, превышающей температуру жидкого азота, так что азот теперь мог использоваться в качестве хладагента.
Путем экспериментального подбора технологии обработки в течении нескольких месяцев был преодолен и «азотный рубеж». Одновременно столь же усилено отодвигался и магнитотоковый барьер. В самые последние годы были обнаружены неустойчивые фазы керамических материалов, в которых наблюдались переходы при температуре 230 - 250 К и даже при комнатной температуре, однако образцы с такими переходами нестабильны. Ближайшей задачей является выяснение природы таких переходов и выделение сверхпроводящей фазы. Особенность новой керамики – слоистая структура типа перовскита, благоприятствующая образованию пар экситонного типа.

Рис. 1.11 Температура сверхпроводящего перехода различных сверхпроводников.
Кроме того, наряду с ионами Cu2+ в керамике присутствуют и необычные ионы Cu3+, обмен зарядами между которыми обеспечивает сравнительно высокую электропроводность керамики уже при обычных температурах, т.е. в её резистивном состоянии. Предполагается, что в зависимости от степени окисления и, значит, от концентрации упорядоченных вакансий кислорода в керамике возникают различные кристаллические фазы, лишь часть из которых обладает сверхпроводимостью. Этим объясняется размытый, растянутый на несколько градусов переход. Понятно, сколь большие перспективы откроются в случае, если фазовым составом керамики удастся управлять, исключив из него ненужные фазы или заменив их компонентами, которые сделают её пластичной. Тем не менее ясно, что это высокотехнологичный материал, который можно получить в виде тонких и толстых пленок.
Криопроводники. Криопроводниками (или гиперпроводниками) называются материалы, которые при криогенных температурах (но выше Тсв), обладают очень низким значением удельного сопротивления, в сотни и тысячи раз меньшего, чем при нормальной температуре. Важно отметить, что с физической точки зрения явление криопроводимости отличается от явления сверхпроводимости. Конечное значение удельного сопротивления криопроводника при низких температурах ограничивает допустимую плотность тока в нем, хотя эта плотность может быть намного выше, чем в проводниках при нормальной температуре. Криопроводники, у которых удельное сопротивление плавно меняется с изменением температуры, нельзя использовать в устройствах, основанных на триггерном эффекте появления и нарушения сверхпроводимости. Однако применение криопроводников в электрических машинах, электромагнитах, кабелях и т.п. имеет существенные преимущества. Так, если в сверхпроводящих устройствах применяют жидкий гелий, то для работы криопроводников требуются более дешевые хладагенты - жидкий водород и жидкий азот. Кроме того, в сверхпроводниковом устройстве, например, электромагните, по обмотке которого проходит сильный ток, накапливается большое количество энергии магнитного поля. Если случайно повысится температура или магнитная индукция хотя бы в малом участке сверхпроводящего контура, сверхпроводимость будет нарушена, внезапно освободится большое количество энергии, что может вызвать серьезную аварию. В случае криопроводниковой цепи повышение температуры может вызвать лишь постепенное возрастание сопротивления без эффекта «взрыва».
На рис. 1.12 представлена температурная зависимость удельного сопротивления некоторых металлов.

Рис.1.12. Зависимость удельного сопротивления от температуры для некоторых металлов: 1- медь; 2- алюминий; 3- бериллий; 4- натрий (сплошные кривые относятся к особо чистым металлам, пунктирные 1/ и 2/ – к технической меди и алюминию соответственно).
Значительный интерес для использования в качестве криопроводника помимо металлов высокой проводимости-меди и алюминия, представляет бериллий, который имеет наименьшее значение удельного сопротивления при азотных температурах. Во всех случаях для получения криопроводников требуются металлы высокой чистоты в отожженном состоянии.
Применение сверхпроводников. Сверхпроводящие материалы изготавливаются в виде проволок, лент и пленок самого различного назначения. Изготовление таких проводников связано с большими технологическими трудностями. Они обусловлены плохими механическими свойствами многих сверхпроводников, их низкой теплопроводностью и сложной структурой проводов. Особенно большой хрупкостью отличаются интерметаллические соединения и керамики, поэтому вместо простых проволок и лент, приходится создавать композиции из двух (обычно сверхпроводник с медью) и более металлов. Для получения многожильных проводов из хрупких интерметаллидов применяется сложный бронзовый метод (или метод твердофазной диффузии). По этому методу прессованием и волочением в несколько стадий создается композиция из тонких нитей ниобия (не более 50 мкн) в матрице из оловянной бронзы. При нагреве олово диффундирует в ниобий, образуя на его поверхности тонкую (20 - 25 мкм) сверхпроводящую пленку станннида ниобия Nb3Sn. Такой жгут может изгибаться, но пленки остаются целыми.
Одно из главных применений сверхпроводников связанно с получением сверхсильных магнитных полей. Сверхпроводящие соленоиды позволяют получать однородные магнитные поля напряженностью свыше 107А/м, к тому же в этих магнитных системах циркулирует незатухающий ток, поэтому не требуется внешний источник питания. Сверхпроводящие магниты позволяют в значительной мере уменьшить габариты и потребление энергии в ускорителях элементарных частиц. Перспективно использование сверхпроводящих магнитных систем для удержания плазмы в термоядерных реакторах, в МГД-преобразователях тепловой энергии в электрическую. Применение сверхпроводников позволяет обойтись без магнитопроводов из электротехнической стали, что позволяет в 5 - 7 раз уменьшить массу и габариты изделий при сохранении мощности. Значительное внимание уделяется разработке сверхмощных трансформаторов (десятки- сотни мегаватт) и сверхпроводящих линий электропередач. Разработаны импульсные сверхпроводящие катушки для питания плазменных пушек и систем накачки твердотельных лазеров. В радиотехнике начинают использовать сверхпроводящие объемные резонаторы, обладающие, благодаря ничтожно малому электрическому сопротивлению, очень высокой добротностью.
На основе сверхпроводников были созданы туннельные криотроны - элементы, на которых можно выполнить ячейки ЭВМ с уникальными возможностями. Достоинствами таких ячеек являются высокое быстродействие (время срабатывания криотронного элемента10-10 - 10-11с), сверхмалые потери (энергия, выделяемая при каждом переключении 10-17 Дж) и чрезвычайная компактность. Используя БИС на основе криотронов со степенью интеграции 105-106, можно создать машину производительностью более 1010 операций в секунду с рассеиваемой мощностью менее 1 ватта. С такими параметрами полупроводниковые элементы конкурировать не могут. Широкие возможности для сверхпроводников открывает измерительная техника, поскольку сверхпроводящие элементы позволяют регистрировать очень тонкие физические эффекты, измерять с высокой точностью и обрабатывать большое количество информации. Уже созданы высокочувствительные болометры для регистрации чрезвычайно слабого ИК-излучения с уровнем флуктуационных шумов 10-16 Вт, магнитометры для измерения слабых магнитных потоков - СКВИДы, индикаторы сверхмалых напряжений и токов. Сверхпроводящие гальванометры, например, обладают чувствительностью в 100- 1000 раз выше обычных; благодаря чрезвычайно малому внутреннему сопротивлению, они способны уловить напряжения порядка 10-11 - 10-12 В. Сверхпроводящие детекторы могут быть использованы для регистрации элементарных частиц, их отличает сверхбыстродействие: за 1с такой счетчик способен регистрировать 10 млн. частиц.
Области применения сверхпроводников и приборов на их основе постоянно расширяются.
1.6. Припои
Припои представляют собой специальные сплавы, применяемые при пайке. Пайку применяют для создания механически прочного (иногда герметичного) шва и получения надежного электрического контакта с малым переходным сопротивлением. При пайке места соединения и припой нагревают до температуры, превышающей температуру плавления припоя. Так как припой имеет температуру плавления значительно ниже чем соединяемые металлы, то он плавится, растекаясь по металлу и заполняя зазоры между соединяемыми деталями. При этом припой диффундирует в металл, а металл растворяется в припое, в результате чего образуется промежуточная прослойка, которая после застывания соединяет детали в одно целое.
Припои принято делить на две группы – мягкие и твердые. К мягким относятся припои с температурой плавления ниже 300 °С, к твердым - выше 300 °С. Кроме температуры плавления припои существенно различаются механической прочностью. Мягкие припои имеют предел прочности при растяжении 16 – 100 МПа, твердые – 100- 500 МПа.
Тип припоя выбирают в зависимости от рода спаиваемых металлов или сплавов, требуемой механической прочности, коррозионной стойкости, стоимости и (при пайке токоведущих частей) электрической проводимости припоя.
Название припоя, как правило, определяется металлами, входящими в него в наибольшем количестве. Обозначение марок припоев складывается из букв и цифр, обозначающих компоненты припоя и их содержание: буква П – обозначает припой, О – олово, С – свинец, К – кадмий, Ср – серебро, В - висмут.
При производстве РЭС применяют следующие мягкие оловянисто-свинцовые припои.
ПОС-40 (Тпл = 238 оС) применяют для пайки токопроводящих деталей, не боящихся перегрева и при неответственной пайке, проводов с монтажными лепестками.
ПОС-61 (Тпл = 190 оС) –это эвтектический сплав олова со свинцом с содержанием олова около 61 %. Он применяется для ответственной пайки радиоэлементов при навесном монтаже на печатных платах, для пайки тонких проводов и литцендратов. Пайка на печатных схемах обычно осуществляется волной припоя.
ПОСК 50-18 (Тпл = 145 оС) содержит 50 % олова, 18 % кадмия, остальное свинец. Этот припой применяют при пайке элементной базы РЭС, чувствительной к перегреву (например интегральные схемы). Припой ПОСК-50 - 18 используется как при навесном, так и поверхностном монтаже. Но этот припой не применяют в том случае, когда пассивная часть (выводы) радиоэлементов (для навесного или поверхностного монтажа) покрыты золотом или серебром. В этом случае кадмий с золотом или серебром образует интерметаллические соединения, снижающие механическую прочность (шов становится хрупким) и увеличивающие сопротивление места пайки, что приводит к отказу устройства.
ПОССр-3,5-58 (Тпл = 190 оС) содержит 3,5 % серебра. Этот припой применяют при пайке радиоэлементов, выводы которых покрыты золотом или серебром.
При поверхностном монтаже припой применяют в виде клеющей пасты с наполнителем из соответствующего припоя в виде порошка. Паста наносится через трафарет на основание печатной платы и после установки радиоэлементов происходит пайка инфракрасным или ультрафиолетовым нагревом, в результате чего происходит расплавление припоя и выгорание органических наполнителей.
Кроме перечисленных припоев есть мягкие припои с температурой плавления ниже 100 оС. Например, сплав Вуда (50 % Вi, 25 % Pb, 12,5 % Sn, 12,5 % Cd) имеет температуру плавления всего 60,5 °С; сплав Розе (50 % Bi, 25 % Pb, 25 % Sn) с Тпл = 94 оС. Эти припои применяют для специальной пайки.
При пайке припоями применяют флюсы, которые не должны вызывать коррозию паяемых металлов. При пайке мягкими припоями используют флюсы марок: ФК (канифоль), ФКСП (раствор канифоли в этиловом спирте), ФКТС (канифоль, салициловая кислота, триэталонамин). Флюсы для пайки твердыми припоями обычно содержат хлористый цинк (ZnCl) и глицерин, их марки ФХ, ФЦХ. Для пайки алюминия применяют флюсы, содержащие следующие химические соединения: LiCl, KCl, NaCl, NaF, KF.
Стандартными твердыми припоями являются медно-цинковые и серебряные припои. Например, ПМЦ-54 – припой медно – цинковый, Сu 54 %; ПСр-40 – припой серебряный, Ag40 %. В таб. 1.5 и 1.6 представлены свойства и назначение некоторых стандартных припоев.
Таблица 1.5
Свойства некоторых стандартных оловянно-свинцовых припоев
| Марка | Ткр,°С | с . 108, Ом∙м | ∆l/l, % | у, МПа | |
| начала | конца | ||||
| ПОС-40 | 15,9 | ||||
| ПОС-61 | 13,9 | ||||
| ПОСК-50-18 | 13,3 | - |
Пайка алюминия и его сплавов производится специально разработанными для этой цели припоями, содержащими Al, Cu, Zn, Sn, Si, Cd в различных сочетаниях.
Кроме припоев, описанных выше, в радиоэлектронной промышленности применяют припои, состав и назначение которых определяется требованием отраслевого стандарта. Это большая группа серебряных, золотых, а также небольшое число медно-никелевых, медно-германиевых и других припоев.
Таблица 1.6
Свойства и назначение некоторых серебряных и медно-цинковых припоев
| Марка | Т кристаллизации, °С | Материалы, подвергаемые пайке | |
| начала | конца | ||
| ПСр-3 | Медь, ее сплавы, нержавеющая сталь, углеродистая сталь | ||
| ПСр-40 | |||
| ПМЦ-36 | Латунь, содержащая до 68% меди | ||
| ПМЦ-54 | Медь, медные сплавы |
В некоторых случаях в качестве припоев используют чистые металлы. В частности медь применяется для пайки никеля, низкоуглеродистой стали. Олово применяется для пайки и лужения меди и ее сплавов, низкоуглеродистой стали, платины, ковара, кадмий - для пайки и лужения ковара и никеля.
Контактолы представляют собой маловязкие либо пастообразные полимерные композиции. В качестве связующего в них используются различные синтетические смолы (эпоксидные, фенол-формальдегидные, кремнийорганические и др.), а проводниковым наполнителем являются мелкодисперсные порошки металлов (серебра, никеля, палладия, меди) или графита. Электрические свойства контактолов определяются в основном свойствами дисперсного наполнителя (проводимостью, формой и размером частиц, концентрацией).
.Основные характеристики некоторых контактолов приведены в табл. 1.7.
Таблица 1.7
Основные характеристики контактолов
| Марка | Наполнитель | с ∙108, Ом .м | Адгезия, МПа | Траб, оС |
| К-17 | Ag | 100-400 | 20-25 | |
| К-12 | 400-800 | 10-20 | ||
| К-21 | 200-400 | 5-10 | ||
| КП-3 | Pd | 103-2∙103 | 15-30 | |
| КН-3 | Ni | 2∙103-3∙103 | 30-50 | |
| КМ-2 | Cu | 5∙102-103 | 8-12 | |
| КТП-1 | Ni | 2,5∙104-6∙105 | – | - |
| 52-381 | Ni-Ag | 104 | – |
Контактолы в виде токопроводящих клеев и покрытий используют для получения контактов между металлами (Ag, Pt, Pd, Au, Cu, Ni, Al), металлами и полупроводниками, металлами и конденсаторами, металлами и резисторами, для создания электродов на диэлектриках, экранирования приборов, для токопроводящих дорожек на диэлектрических подложках, в гибких волноводах и других изделиях электронной промышленности.
1. Какие материалы называются проводниковыми? Приведите классификацию проводниковых материалов.
2. Объясните механизм высокой электропроводности металлов. Приведите аналитическое выражение закона Ома.
3. Как зависит проводимость металлов от температуры? Что такое температурный коэффициент удельного сопротивления?
4. Как влияют примеси на удельное сопротивление металлов? Сформулируйте правило Маттисена.
5. Каким образом механические деформации влияют на удельное сопротивление металлов?
6. Как зависит удельное сопротивление тонких металлических пленок от их толщины и почему?
7. Что называют термо - э.д.с. и контактной разностью потенциалов, в чем причины их возникновения? Что такое «термопара»?
8. Какие металлы называются металлами высокой проводимости? Приведите примеры.
9. Какие свойства золота обусловливают применение его в радиоэлектронных средствах? Приведите конкретные примеры использования его в РЭС.
10. Приведите основные свойства серебра и конкретные примеры его использования в РЭС. Почему серебро не используется для создания электрических контактов в микроэлектронике?
11. Какие свойства меди обусловливают ее широкое применение в радиоэлектронике и назовите области применения меди? Что такое «водородная болезнь»?
12. Какими преимуществами и недостатками по сравнению с медью обладает алюминий? Укажите области применения алюминия в электронной технике.
13. Чем обусловлено широкое применение тантала в производстве конденсаторов?
14. Какие сплавы называются сплавами высокого сопротивления? Назовите их и укажите области применения в электронной технике.
15. Какие резистивные материалы применяются для изготовления резистивных элементов (пленочных и дискретных)?
16. Что такое термобиметаллы и тензометрические сплавы? Приведите примеры и назовите области их применения.
17. Что такое сверхпроводимость? Какие металлы и в каких условиях переходят в состояние сверхпроводимости? Объясните физическую природу сверхпроводимости.
18. Как влияет магнитное поле на критическую температуру перехода в состояние сверхпроводимости? Чем различаются сверхпроводники первого и второго рода?
19. Что такое высокотемпературная сверхпроводимость? Назовите материалы с самой высокой критической температурой перехода в сверхпроводящее состояние на сегодняшний день.
20. Какие материалы называют криопроводниками? Приведите примеры и расскажите о применении сверхпроводников и криопроводников в современной радиоэлектронике.
21. Какие материалы называют припоями? Укажите их назначение в устройствах РЭС.
22. Приведите состав припоя ПОС–61, его свойства и укажите, почему его применяют при ответственной пайке (например радиоэлементов на печатных платах).
23. Почему припой ПОСК-50-18 не применяют для пайки радиоэлементов с позолоченными выводами и какой припой применяют при этом?
2. Полупроводниковые материалы
Полупроводниковые (ПП) материалы – это вещества, заметно изменяющие свои электрические свойства под действием влияния различных внешних воздействий: электрического и магнитных полей, освещения, температуры, внешнего давления; удельное электрическое сопротивление ρ занимает промежуточное положение между проводниками и диэлектриками (ρ = 10-6 – 109 Ом.м) при комнатной температуре. Ширина запрещенной зоны различных полупроводников находится в пределах 0,5 – 3 эВ. В отличии от металлов ПП материалы характеризуются отрицательным значением температурного коэффициента удельного сопротивления αρ.
Электрофизические параметры ПП материалов сильно зависят от содержания примесей даже в малых количествах (в промышленных ПП, используемых в приборах, их не должно превышать 10-3 %).
Специфичность свойств полупроводниковых материалов обусловила их широкое применение для изготовления:
1) различных полупроводниковых приборов - диодов, транзисторов, интегральных схем, тиристоров, полупроводниковых приборов СВЧ диапазона – туннельных, лавинно-пролетных и диодов Ганна;
2) преобразователей физических величин в электрические - датчиков давления, температуры, химического состава, освещенности, радиации, магнитного поля и других;
3) оптоэлектронных устройств - светодиодов, фотодетекторов, лазеров, солнечных батарей, фильтров и др.
2.1 Электропроводность полупроводников
Как и в металлах, электрический ток в полупроводниках связан с дрейфом носителей заряда. Но, если в металлах наличие свободных электронов обусловлено самой природой металлической связи, то появление носителей заряда в полупроводниках определяется рядом факторов, важнейшими из которых являются химическая чистота материала и температура.
Собственные и примесные полупроводники. В зависимости от чистоты полупроводники разделяют на собственные и примесные. Собственными, или полупроводниками типа i, называют полупроводники, в которых можно пренебречь влиянием примесей при данной температуре. Согласно зонной теории твердого тела для полупроводников характерно наличие не очень широкой запрещенной зоны (< 3 эВ). В собственном полупроводнике при 0 К валентная зона полностью заполнена электронами, а зона проводимости абсолютна свободна, т. е. полупроводник подобен идеальному диэлектрику. При температурах, отличных от 0 К, имеется вероятность того, что некоторые электроны за счет тепловых флуктуаций преодолеют потенциальный барьер и окажутся в зоне проводимости. В собственном полупроводнике каждый переход электрона в зону проводимости сопровождается образованием вакансии в валентной зоне. Благодаря вакансиям, электроны валентной зоны также принимают участие в процессе электропроводности за счет эстафетных переходов на более высокие освободившиеся энергетические уровни. Изложенное выше иллюстрирует схема, представленная на рис. 2.1.

Рис. 2.1. Схематическое представление собственной электропроводности кремния
При сообщении кристаллической решетке некоторого дополнительного количества энергии, например, при нагреве, электрон может покинуть ковалентную связь и превратиться в свободный носитель электрического заряда. В результате в ковалентной vсвязи vобразуетсяv «вакантное» место, которое может занять один из валентных электронов соседней связи (рис. 2.1.). При этом вакантное место перемещается к другому атому. Перемещение вакантного места внутри кристаллической решетки принято рассматривать как перемещение некоторого положительного заряда, называемого дыркой. Величина этого заряда равна заряду электрона. Процесс образования свободных электронов и дырок под воздействием тепла называют тепловой генерацией. Одновременно с генерацией в полупроводнике идет и обратный процесс- рекомбинация, т. е. исчезновение пар носителей заряда. В равновесном состоянии в собственном полупроводнике при любой температуре устанавливается равновесная концентрация электронов ni и дырок pi. Поскольку электроны и дырки генерируются попарно, в собственном полупроводнике ni = pi, pi + ni = 2 ni. При комнатной температуре в кремнии ni = p i= 1.4∙1013 м-3.
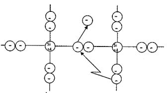
Примесными называются полупроводники, электрофизические свойства которых в основном определяются примесями. Кристаллическая решетка таких полупроводников содержит атомы с валентностью, отличающейся от валентности основных атомов, причем концентрация примесных атомов превышает собственную концентрацию носителей заряда. Если валентность примесных атомов больше валентности основных атомов, например, в кристаллическую решетку кремния введены пятивалентные атомы мышьяка, то пятый валентный электрон оказывается незанятым в ковалентной связи и легко отрывается от атома, становясь свободным (рис.2.2, а).
При этом примесный атом становится положительным ионом. Такой полупроводник называют электронным или полупроводником типа n, а примесные атомы называют донорами.
Если в кристаллическую решетку кремния введены трехвалентные атомы алюминия, то одна из связей оказывается незаполненной. При незначительном тепловом воздействии электрон одной из соседних связей может перейти в незаполненную связь, а на том месте, откуда пришел электрон, возникает дырка (рис. 2.2,б). При этом примесный атом приобретает отрицательный заряд. Такой полупроводник называется дырочным или полупроводником типа p, а примесные атомы называют акцепторами.

Рис. 2. 2. Схематическое представление кремния, легированного мышьяком (полупроводник n-типа) -а) и алюминием (полупроводник p-типа) -б)
Носители заряда, концентрация которых в данном полупроводнике больше, называют основными, а носители, концентрация которых меньше - неосновными. Так, в полупроводнике n-типа электроны являются основными носителями, а дырки - неосновными; в полупроводнике p-типа дырки - основными носителями, а электроны - неосновными. C точки зрения зонной теории, при тепловой генерации происходит переход электронов из валентной зоны в зону проводимости, а при рекомбинации - их возврат из зоны проводимости в валентную зону. Чем шире запрещенная зона, тем меньше концентрация собственных носителей заряда. В полупроводнике n-типа из-за наличия пятивалентных примесных атомов в пределах запрещенной зоны вблизи дна зоны ЭС проводимости появляются примесные донорные уровни ЭД. При внешнем возбуждении электроны с примесных уровней могут легко переходить в свободную зону и участвовать в электропроводности. Энергия, необходимая для таких переходов ΔЭД = ЭС - ЭД, называется энергией ионизации доноров. Эта энергия значительно меньше энергии ионизации собственных атомов полупроводника, т. е. меньше ширины запрещенной зоны ΔЭ, и, например, в кремнии составляет 0,05 эВ.
В полупроводнике р-типа за счет введения трехвалентных примесных атомов в пределах запрещенной зоны ЭВ вблизи от верхнего края («потолка») валентной зоны появляется примесный акцепторный уровень ЭА. Благодаря тепловому возбуждению электроны из валентной зоны забрасываются на этот свободный примесный уровень. Минимальную энергию, которую необходимо сообщить электрону валентной зоны, чтобы перевести его на акцепторный уровень ΔЭА = ЭА - ЭВ, называют энергией активации акцептора.
2.2. Влияние внешних факторов на электропроводность полупроводников
Зависимость проводимости полупроводников от температуры. Как и в металлах под действием внешнего электрического поля носители заряда приобретают некоторую скорость направленного движения (скорость дрейфа) и создают электрический ток, плотность которого определяется выражением (1.1.). Отношение средней скорости дрейфа к напряженности электрического поля называют подвижностью носителей заряда μ
(2.1)
В полупроводниках следует различать подвижность электронов μn и подвижность дырок μp. С учетом этого выражение (1.1) приобретает вид
J = eE(n0μn + p0μp), (2.2)
где n0 и p0 - равновесные концентрации электронов и дырок в полупроводнике, а удельная проводимость равна, соответственно
γ = e(n0μn + p0μp). (2.3)
Таким образом, проводимость полупроводников решающим образом зависит от концентрации и подвижности носителей, которые, в свою очередь зависят от температуры.
Анализ выражения (2.3) показывает, что зависимость удельной проводимости от температуры определяется двумя факторами: влиянием температуры на концентрацию носителей и на их подвижность. Оценим вклад каждого их этих компонентов.
Выражение для концентрации носителей заряда в собственном полупроводнике имеет вид
ni = pi = (NC·NB)1/2·exp(-ΔЭ/2kT), (2.4)
где NC – эффективная плотность состояний в зоне проводимости, энергия которых приведена ко дну зоны проводимости;
NB – эффективная плотность состояний в валентной зоне, энергия которых приведена к потолку валентной зоны (ЭВ);
ΔЭ – ширина запрещенной зоны.
Для графического изображения температурных зависимостей ni и pi выражение (2.4) удобно представить в виде:
ln ni = ln pi = ln (NC·NB)1/2 – ΔЭ/2kT. (2.5)
Произведение NC·NB является слабой функцией от температуры, поэтому зависимость логарифма концентрации носителей от обратной температуры близка к линейной, причем наклон прямой характеризует ширину запрещенной зоны собственного полупроводника.
В примесных полупроводниках температурные зависимости равновесных концентраций носителей заряда имеют аналогичный вид. В полупроводнике n-типа концентрация электронов равна
ln n0 = ln (NC·NД) – ΔЭД/2kT, (2.6)
где NД – эффективная плотность состояний на донорных уровнях;
ΔЭД – энергия ионизации доноров.
В полупроводнике р-типа концентрация дырок
ln p0 = ln (NB·NA)1\2- ΔЭA/2kT, (2.7)
где NA-эффективная плотность состояний на акцепторных уровнях; ΔЭA-энергия ионизации акцепторов.
В полупроводниках подвижность носителей меняется при изменении температуры сравнительно слабо (по степенному закону: μ~T3/2 в области низких температур и μ~T-3/2 при повышенных температурах). В то же время, как следует из соотношений (2.4)-(2.7), концентрация носителей заряда зависит от температуры очень сильно (по экспоненциальному закону). Таким образом, температурная зависимость удельной проводимости как собственных, так и примесных полупроводников определяется в основном температурной зависимостью концентрации носителей. Поэтому качественный характер зависимости γ(Т) аналогичен зависимости n(T) и p(T) (рис. 2.3)

Рис. 2.3. Типичные температурные зависимости удельной проводимости полупроводника при различной концентрации примесей: N1<N2<N3
В области низких температур (участок 1-2) увеличение удельной проводимости с ростом температуры обусловлено возрастанием концентрации носителей заряда, поставляемых примесными атомами (донорами или акцепторами). Наклон прямой на этом участке характеризует энергию активации примесей ΔЭпр (ΔЭД или ΔЭА). В процессе дальнейшего нагревания при некоторой температуре, соответствующей точке 2, все электроны с примесных уровней оказываются выброшенными в зону проводимости в случае электронного (n) и в запрещенную зону в случае дырочного (p) полупроводников. При этом вероятность ионизации собственных атомов полупроводника еще мала. Поэтому в достаточно широком температурном интервале (участок 2-3) концентрация носителей заряда остается постоянной и поведение удельной проводимости определяется температурной зависимостью подвижности. Этот участок принято называть областью истощения примесей. При относительно высоких температурах (участок 3-4) доминирующую роль начинают играть перебросы электронов через запрещенную зону, т.е. происходит переход в область собственной электропроводности, где концентрация электронов равна концентрации дырок, а крутизна кривой определяет ширину запрещенной зоны ΔЭ. Для этой области γi = eni(μn + μp). С увеличением концентрации примеси участки кривых, соответствующих примесной проводимости, смещаются вверх, при этом уменьшается энергия ионизации примесей, т.е. ΔЭпр1> ΔЭпр2> ΔЭпр3. Чем больше концентрация примесей, тем выше температура их истощения. При достаточно высокой концентрации примеси (N3) их энергия ионизации обращается в ноль, так как образовавшаяся примесная зона перекрывается зоной проводимости. Такой полупроводник является вырожденным. У вырожденного полупроводника концентрация носителей заряда не зависит от температуры, а температурная зависимость удельной проводимости в области примесной электропроводности подобна температурному изменению удельной проводимости металлов. Поэтому вырожденные полупроводники иногда называют полуметаллами.
Влияние деформации на электропроводность полупроводников. Деформация оказывает воздействие на электропроводность полупроводников вследствие изменения ширины энергетических зон и смещения примесных уровней, что в свою очередь влияет на концентрацию носителей. Подвижность носителей заряда меняется из-за уменьшения или увеличения амплитуды колебаний атомов при их смещении. Для металлов основным является изменение подвижности, а для полупроводников изменение концентрации носителей заряда. Ширина запрещенной зоны изменяется неоднозначно при смещении атомов, и у разных полупроводников одна и та же деформация вызывает как увеличение, так и уменьшение удельной проводимости.
Величина, характеризующая изменение удельной проводимости (удельного сопротивления) полупроводников при деформации, называется тензочувствительностью, которая
dρ = (Δρ/ρ)/(Δl/l), (2.8)
представляет собой отношение относительного изменения удельного сопротивления полупроводника к относительной деформации.
Воздействие электромагнитного излучения на электропроводность полупроводников. Электромагнитная энергия, поглощаемая полупроводником, вызывает в нем появление избыточного по сравнению с равновесным (при данной температуре) количества носителей зарядов, приводящего к возрастанию электропроводности. Фотопроводимостью называют увеличение электрической проводимости вещества под действием электромагнитного излучения. Удельная фотопроводимость Δγ равна разности удельных проводимостей полупроводника на свету и в темноте
Δγ = γС- γТ = е(Δnμn + Δpμp),
где Δn и Δp – концентрации неравновесных носителей заряда, возникших вследствие оптической генерации.
В фотопроводимости обнаруживается квантовая природа света. Энергия фотона
hν = 1.23/λ, (2.9)
(где h-постоянная Планка; ν и λ – частота и длина волны излучения) затрачивается в собственном полупроводнике на образование электронно-дырочных пар за счет переброса электронов из валентной зоны в зону проводимости. Существует граничная длина волны, определяемая энергией кванта, достаточной для перехода электрона с самого верхнего уровня валентной зоны на самый нижний уровень зоны проводимости, т.е. равная ширине запрещенной зоны. Так как запрещенная зона полупроводников имеет ширину от 0.1 до 3 эВ, то фотопроводимость может обнаруживаться в инфракрасной, видимой или ультрафиолетовой части электромагнитного спектра.
Квантовым выходом внутреннего фотоэффекта называют количество пар носителей, приходящихся на один поглощенный квант. В фотоэлектрически активной области квантовый выход чаще всего равен единице, т.е. каждый фотон создает при возбуждении решетки одну пару носителей заряда.
Фотопроводимость возрастает с увеличением интенсивности облучения, так как увеличивается число носителей. С другой стороны возрастает их рекомбинация, но первый процесс преобладает над вторым. Закономерности возрастания фотопроводимости с увеличением интенсивности облучения у разных полупроводников различные. На практике в некоторых случаях пользуются зависимостью вида
Δγ = ВФх, (2.10)
где В - постоянная, характеризующая полупроводник; Ф - интенсивность облучения; 0 < x < 1.
С понижением температуры уменьшается темновая проводимость, служащая фоном, на котором появляется фотопроводимость, а поэтому роль последней возрастает. Кроме того, с понижением температуры увеличивается и сама фотопроводимость, так как с уменьшением концентрации темновых носителей заряда снижается вероятность рекомбинации носителей.
Изменение фотопроводимости от времени называется релаксацией фотопроводимости. После прекращения облучения проводимость возвращается к тому значению, которое она имела до облучения. У одних полупроводников это длится микросекунды, у других измеряется минутами и даже часами. Знание инерционности фотопроводимости различных полупроводников важно при разработке, например, фоторезисторов, к быстродействию которых предъявляются высокие требования.
Влияние сильных электрических полей на электропроводность полупроводников. В сильных электрических полях наблюдается нарушение закона Ома J = γE. Как видно из рис. 2.4, при низких значениях напряженности поля (до некоторого критического значения EK) закон Ома соблюдается и удельная проводимость не зависит от напряженности поля Е.
При более высоких значениях Е начинается интенсивный рост удельной проводимости по экспоненциальному закону, приводящий к разрушению полупроводника. С ростом темпе-

Рис.2.4. Зависимость удельной проводимости полупроводника от напряженности электрического поля при различной температуре(T1 < T2)
ратуры кривая удельной проводимости смещается вверх, а наклон возрастающей части становится меньше для некоторых полупроводников зависимость удельной проводимости от напряженности поля описывается выражением
γЕ = γexp(βЕ1/2), (2.11)
где γ- удельная проводимость при Е < ЕК; β- коэффициент, характеризующий полупроводник.
Нарушение закона Ома будет иметь место, когда подвижность или (и) концентрация носителей зависит от напряженности электрического поля. Если изменение абсолютного значения скорости свободного носителя заряда за счет внешнего поля на длине свободного пробега сравнимо с тепловой скоростью, то нельзя считать, что его подвижность не зависит от внешнего поля. При напряженности E > EK в зависимости от доминирующего механизма рассеяния подвижность носителей заряда может как уменьшаться, так и увеличиваться. Кроме того, сильное электрическое поле приводит к значительному росту их концентрации. Различают несколько механизмов повышения концентрации свободных носителей в полупроводнике под действием внешнего электрического поля – электростатическую, термоэлектронную и ударную ионизацию.
При воздействии внешнего электрического поля с напряженностью Е энергетические зоны полупроводника становятся наклонными. Это происходит потому, что во внешнем поле электрон приобретает дополнительную энергию, равную W = -eEх, зависящую от координаты x. Прибавление этой энергии к энергии электрона в полупроводнике в отсутствие внешнего электрического поля приводит к наклону энергетических зон (рис 2.5).

Рис.2.5. Энергетические зоны полупроводника под воздействием сильного электрического поля: WC- нижний энергетический уровень зоны проводимости («дно» зоны проводимости); WV – верхний энергетический уровень валентной зоны («потолок» валентной зоны)
Как видно из рисунка, в сильном электрическом поле при наклоне зон возможен переход электрона из валентной зоны и с локальных уровней в зону проводимости без изменений энергии – путем туннелирования через запрещенную зону (переходы 1 и 2). Этот механизм увеличения концентрации свободных носителей представляют собой электростатическую ионизацию, и называется эффектом Зенера. Она возможна в электрических полях с напряженностью порядка 108 В/м и приводит к существенному повышению концентрации свободных носителей заряда.
Если свободный электрон под действием внешнего электрического поля приобретает энергию, достаточную для перехода электрона из валентной зоны в зону проводимости, то возможна ударная ионизация. Ионизирующий электрон при этом остается в зоне проводимости. Таким образом, ударная ионизация приводит к увеличению числа свободных носителей заряда в полупроводниках.
Следует иметь ввиду, что эффект Зенера может маскироваться лавинным пробоем. Действительно, поскольку в полупроводниках всегда имеется определенное количество свободных носителей, то до возникновения эффекта Зенера при напряженности поля 106 – 108 В/м разовьется лавинный пробой, который настолько увеличит электропроводность, что дальнейшее повышение напряженности поля будет невозможным.
2.3. Физические эффекты в полупроводниках
Эффект Ганна относится к эффектам сильного поля, обусловленным изменением подвижности носителей заряда. Сущность его заключается в появлении высокочастотных электрических колебаний при воздействии на полупроводник постоянного электрического поля высокой напряженности (порядка 105 В/м). Впервые эффект Ганна наблюдался на образцах арсенида галлия GaAs и фосфида индия InP с электропроводностью n-типа. Для объяснения эффекта Ганна необходимо учесть сложное строение зоны проводимости полупроводников (рис.2.6.). Каждый полупроводник характеризуется зависимостью энергии электронов от волнового вектора k, который связан с квазиимпульсом Р частиц в твердом теле соотношением:
Р = ħk = hk/2π. 2.12)
На энергетической диаграмме арсенида галлия (рис.2.6.), построенной в пространстве квазиимпульсов, можно выделить несколько минимумов зоны проводимости, разделенных потенциальным барьером ΔЭ1. В центральном минимуме, соответствующем точке к = 0, электроны обладают существенно большей подвижностью по сравнению с боковыми минимумами. При воздействии слабого поля электроны заполняют нижний минимум, поскольку их дрейфовые скорости и квазиимпульсы малы.

Рис.2.6. Структура энергетических зон арсенида галлия в кристаллографическом направлении[100]






