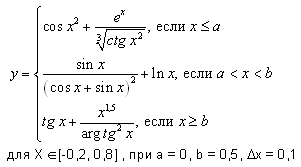
Создание формул
1. Используя возможности текстового процессора Microsoft Word, создать формулу в соответствии с вариантом задания.
2. Готовую формулу вставить в текстовый документ контрольной работы.
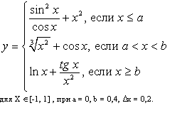
Вариант № 1

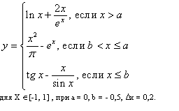
Вариант № 2

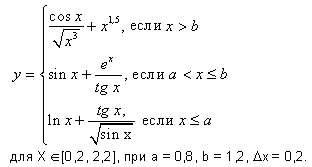
Вариант № 3

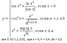
Вариант № 4

Вариант № 5

Вариант № 6

Вариант № 7

Вариант № 8

Вариант № 9

Вариант № 10

Задание № 3






