-
потери энергии жидкости при распространении ударной волны на преодоление сопротивления трубопровода;
-
потери энергии жидкости на нагрев трубопровода;
-
потери энергии на деформацию стенок трубопровода;
+
потерь энергии жидкости на преодоление сил трения и ухода энергии в резервуар.
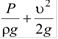
Энергия насоса на выходе при известном давлении и скорости жидкости определится как
-

+

-

-







