| |||
![]() |
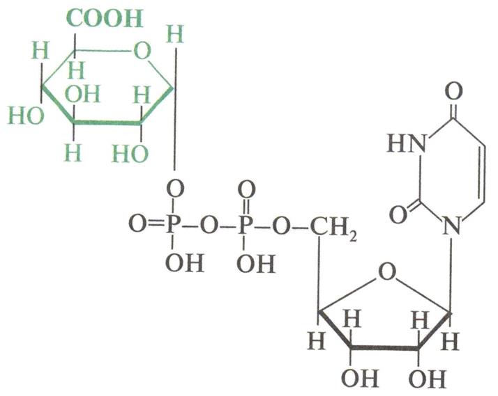
Реакция в общем виде:
ROH + УДФ–C6H9O6 ® RO–C6H9O6 + УДФ
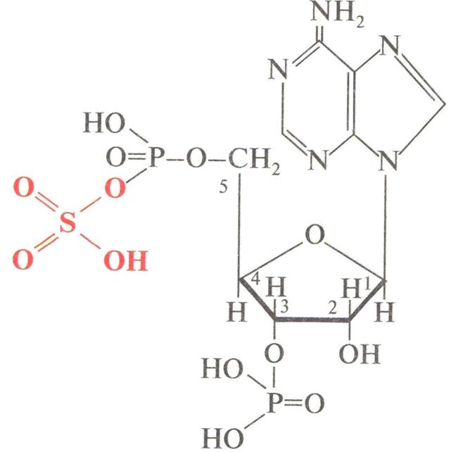
2) Присоединение остатка серной к-ты.
Ферменты: сульфотрансферазы
Активная форма: ФАФС – фосфоаденозинфосфосульфат:
![]() |
Реакция в общем виде:
ROH + ФАФ–SO3H ® RO–SO3H + ФАФ
Глутатионтрансферазы (ГТазы).
Для работы ферментов требуется глутатион.
Глутатион – трипептид глу-цис-гли. Остаток Глу присоединен к Цис COOH-группой радикала.
![]() |









