- Технология построения переключательных схем.
- Двумерный массив. Сортировка двумерного массива.
- Задачи на умение анализировать информацию, представленную в виде схем.
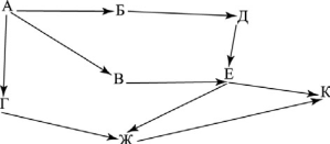
a) На рисунке — схема дорог, связывающих города А, Б, В, Г, Д, Е, Ж, К. По каждой дороге можно двигаться только в одном направлении, указанном стрелкой. Сколько существует различных путей из города А в город К?

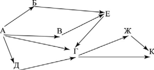
б) На рисунке — схема дорог, связывающих города А, Б, В, Г, Д, Е, Ж, К. По каждой дороге можно двигаться только в одном направлении, указанном стрелкой. Сколько существует различных путей из города А в город К?







