Чтобы определить объемы земляных работ при разработке котлованов и траншей, необходимо знать их основные размеры: глубину (Н), ширину (В) и длину (L).
Глубина разработки котлованов и траншей принимается по проектным данным: от «черной» отметки поверхности земли до отметки заложения основания под фундаменты или подстилающего слоя под полы и уменьшается на толщину срезки растительного грунта, если объем среза подсчитывается отдельно.
При определении размеров в плане (ширины и длины) котлована или траншеи с вертикальными стенками учитывают размеры подвала и фундаментов, включая толщину гидроизоляции, толщину опалубки и креплений, расстояния со всех сторон между сооружением и стенкой котлована (траншеи) — 0,2 м, а при необходимости спуска людей в котлован — не менее 0,7 м.
Для котлована, с откосами определяются размеры котлована понизу и поверху: ширина (В) и длина (L).
Размеры понизу (В, L) определяются габаритами сооружения с учетом расстояния между сооружением и подошвой откоса (не менее 3 м). Размеры поверху определяются с учетом крутизны откосов:

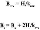
Где:
Вотк — ширина (заложение) откоса, м.
Крутизна откоса характеризуется коэффициентом откоса— отношением глубины выемки к заложению откоса:
Отсюда:
Или:
Объем земляных работ (V) при разработке котлованов с откосами определяется по формулам:
- для котлована прямоугольной формы

где
— площадь котлована соответственно понизу и поверху, м2;
- для котлована квадратной формы

- для котлована круглого в плане

где
R и r — радиусы верхнего и нижнего основания котлована;
- для котлована, имеющего форму многоугольника

где
Sср — площадь сечения по середине его высоты, м2. Приведенные формулы пригодны для определения объемов небольших котлованов (шириной менее 15м). В этом случае они могут разрабатываться экскаватором, находящимся на поверхности земли (типа «драглайн» и «обратная лопата»).
При ширине котлована более 15м земляные работы выполняются экскаватором типа «прямая лопата», который требуется опустить на дно котлована.
Если котлован разрабатывается экскаватором с прямой лопатой, то, к объему котлована необходимо прибавить объем земляных работ для устройства въездов в него.
Число въездов должно быть предусмотрено проектом организации строительства, а объем одного въезда подсчитывается по формуле:

где
Н — глубина котлована.
В случаях, когда котлован разрабатывается сверху (экскаватором-драглайном или обратной лопатой), а зачищают котлован бульдозером, следует к объему котлована прибавить объем земляных работ для устройства въезда бульдозера. Число въездов определяется проектом организации строительства, а объем въезда подсчитывается по формуле:

Размеры траншей определяются в зависимости от размеров фундаментов, диаметра прокладываемых труб, способа производства работ. Расстояния между конструкциями и стенками траншей понизу принимаются в том же порядке, что и для котлованов.
Наименьшая ширина траншей по дну при разработке грунта одноковшовыми экскаваторами соответствует ширине режущей кромки ковша с добавлением 0,15м— в песках и супесях; 0,1м— в глинистых грунтах; 0,4м— в разрыхленных скальных и мерзлых грунтах.
Таблица