Набор формул в MS Word осуществляется при помощи встроенного редактора формул Microsoft Equation, в MS Word 97, 2000 и ХР используется версия 3.0.
Данный редактор предоставляет богатые возможности для набора формул.
.
Для того чтобы осуществить набор формулы, выполните следующие действия:

· установить курсор в то место документа, куда вы собираетесь вставить формулу (если требуется набрать формулу в отдельном абзаце, то предварительно сформировать пустую строку);
· в меню Вставка выполнить команду Объект, затем в диалоге Вставка объекта:
(проследить, чтобы был отключен флажок Поверх текста);
· в поле Тип объекта выбрать Microsoft Equation 3.0;
· щелкнуть по OК.

Рис. 2.15. Вставка объекта в текстовый документ
Если на панели инструментов у вас присутствует кнопка Редактор формул, то можно вставить формулу щелчком мыши по этому инструменту.
После выполнения указанных выше действий на месте нахождения курсора будет сформирован объект с пустой заготовкой для формулы и открыта панель инструментов Формула. Набор формулы осуществляется с помощью инструментов ввода символов (верхняя строка панели Формула) и шаблонов (нижняя строка панели).
|
|
|
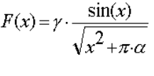
Далее введем саму формулу. Для этого:
· набрать с клавиатуры
;
· на панели Формула нажать кнопку шаблонов Греческие буквы (строчные) и щелкнуть по символу g;
· нажать кнопку символов Операторы, выберите символ операции умножения и щелкнуть по нему мышью;
· нажать кнопку шаблонов Шаблоны дробей и радикалов и щелкнуть по шаблону дроби (левый верхний шаблон);
· в числителе набрать с клавиатуры
;
· щелчком мыши переместить курсор в зону знаменателя дроби;
· нажать кнопку шаблонов Шаблоны дробей и радикалов и щелкнуть по шаблону корня (левый шаблон во второй снизу строке);
В зоне под корнем:
· набрать с клавиатуры
;
· нажать кнопку шаблонов Шаблоны верхних и нижних индексов и щелкнуть по шаблону возведения в степень (левый верхний шаблон);
· набрать с клавиатуры 2;
· нажать клавишу ® и наберите с клавиатуры +;
· нажать кнопку шаблонов Греческие буквы (строчные) и щелкнуть по символу p;
· самостоятельно ввести знак умножения и греческий символ
;
· для возврата в режим редактирования документа закрыть панель Формула или нажать клавишу Esc или щелкните мышью за пределами объекта с формулой;
· отцентрировать положение формулы, щелкнув по ней мышью и нажав кнопку По центру панели инструментов Форматирование.

Рис. 2.16. Редактор формул
Замечание: чтобы отступить место в формуле, нажимать комбинации Ctrl+Tab или Ctrl+Space.






