- Введите матрицу А в диапазон ячеек B1:C2:

3 2
А =
4 -5
Вектор В= (7 40) введите в диапазон ячеек B4:B5:

Рис.3.1
- Найдите обратную матрицу А-1. Для этого:
· Выделите блок ячеек под обратную матрицу В7:С8
· Вызовите функцию МОБР.
· В рабочее поле Массив введите диапазон исходной матрицы B1:C2.
· Нажмите сочетание клавиш CTRL+SHIFT+ENTER.
В результате в диапазоне B7:C8 появится обратная матрица:

Рис.3.2.
- Умножением обратной матрицы А-1 на вектор В найдите вектор Х.
Для этого:
· выделите блок ячеек под результирующую матрицу (под вектор Х) – В10:В11. Ее размерность будет 2х1.
· Вызовите функцию МУМНОЖ.
· введите диапазон обратной матрицы А-1 – В7:С8 в рабочее поле Массив 1, а диапазон матрицы В – В4:В5 – в рабочее поле Массив 2. Нажмите сочетание клавиш CTRL+SHIFT+ENTER;
· вектор Х появился в диапазоне В10:В11.

Рис.3.3
4. Выполним проверку найденного решения. Для этого найденный вектор необходимо подставить в исходное матричное уравнение А * Х = В.
· Выделите блок ячеек под вектор В – В15:В16. Ее размерность будет 2х1.
· Вызовите функцию МУМНОЖ.
· Введите диапазон исходной матрицы А – В1:С2 в рабочее поле Массив1, а диапазон матрицы Х – В10:В11 – в рабочее поле Массив2. После этого нажмите сочетание клавиш CTRL+SHIFT+ENTER.
В результате в диапазоне В15:В16 появится вектор В и если система решена правильно, появившийся вектор будет равен исходному В = (7 40).

Рис.3.4.
Пример 3.2 Решение системы методом Крамера.
Задана система уравнений

- Введём матрицу A и вектор b в рабочий лист MS Excel:

Рис.3.5.
· Сформируем четыре вспомогательные матрицы, заменяя последовательно столбцы матрицы A на столбец вектора b (рис. 3.6).
· Для дальнейшего решения необходимо вычислить определитель матрицы A. Установим курсор в ячейку I10 и вызовем функцию МОПРЕД. В поле ввода Массив введем диапазон ячеек B1:E4.
· Для вычисления вспомогательных определителей введем формулы:
I11=МОПРЕД(B6:E9),
I12=МОПРЕД(B11:E14),
I13=МОПРЕД(B16:E19),
I14=МОПРЕД(B21:E24).
В результате в ячейке I10 хранится главный определитель, а в ячейках I11:I14 - вспомогательные.
· Воспользуемся формулами Крамера и разделим последовательно вспомогательные определители на главный. В ячейку K11 введём формулу =I11/$I$10. Затем скопируем её содержимое в ячейки K12, K13 и K14. Система решена.

Рис.3.6. Решение системы методом Крамера.
- Выполните проверку.
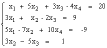
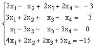
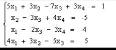
Таблица вариантов
- Решить систему уравнений с помощью обратной матрицы.
- Решить систему уравнений методом Крамера.
При решении систем обязательно выполнить проверку.
| № Вар. | Задание |
| |
| |
| |
| |
| |
| |
| |
| |
| |
| |
| |
| |
| |
| |
| |
| |
| |
| |
| |
| |
| |
| |
| |
| |
|






