1. Промойте сталагмометр дистиллированной водой, несколько раз засасывая в него и выгоняя обратно дистиллированную воду нажатием резиновой груши.
2. Измерьте температуру, при которой производится опыт.
3. Наберите в прибор дистиллированную воду несколько выше верхней метки так, чтобы в столбе жидкости не было воздушных пузырьков.
4. Предоставив воде свободно капать из отверстия сталагмометра, подсчитайте число капель n0 при вытекании воды от верхней до нижней отметки. Отсчет проводите 5 раз.
5. Проведите аналогичные измерения с растворами нескольких различных концентраций этилового спирта, отсчитывая каждый раз число капель n.
6. Результаты запишите в таблицу.
Таблица 2
| № изм. | t0 = σ0 = | |||||||||
| С = 0 (дист.вода) | C1 = | C2 = | и т. д. | |||||||
| n0 | ∆ n0 | (∆ n0)2 | n1 | ∆ n1 | (∆ n1)2 | n2 | ∆ n2 | (∆ n2)2 | ||
| Сред: | ||||||||||
| ρ | ||||||||||
| σ |
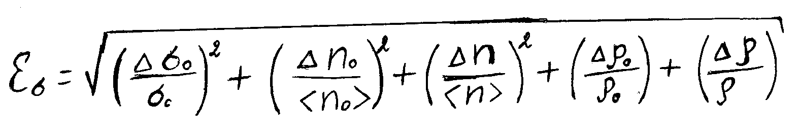
7. Вычислите погрешности измерений.
Относительная погрешность будет равна:

Погрешности плотности будут зависеть от точности, с какой измеряется температура, поскольку значения плотностей берутся из таблиц. Однако даже при ошибке в измерении температуры в 1° ошибка в определении плотности очень мала, и поэтому величины ∆ρ0 и ∆ρ можно принять равными нулю.
Вычислив относительную погрешность, найдите абсолютную погрешность и истинное значение КПН. Все вычисления проделайте для каждой концентрации исследуемого раствора.
∆σ = εσ <σ>
8. По данным таблицы постройте график зависимости КПН от концентрации при данной температуре. На график нанесите доверительные интервалы, соответствующие каждой концентрации растворов.
Контрольные вопросы
1. Объясните, как образуется поверхностный слой в жидкостях.
2. Дайте определение КПН. В каких единицах измеряется КПН?
3. От чего зависит величина КПН?
4. Опишите устройство сталагмометра.
5. Выведите формулу для определения КПН сталагмометром.
6. С какой целью измеряют КПН биологических жидкостей?






