
Рис. 4.4
Схема на рис. 4.4 имеет два узла. Потенциал точки 2 примем
равным нулю φ2 = 0. Составим узловое уравнение для узла 1.
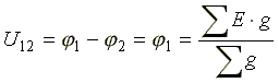
,
,
где
,
,
-проводимости ветвей.
В общем виде:
.
В знаменателе формулы - сумма проводимостей параллельно включенных ветвей. В числителе - алгебраическая сумма произведений ЭДС источников на проводимости ветвей, в которые эти ЭДС включены. ЭДС в формуле записывается со знаком "плюс", если она направлена к узлу 1, и со знаком "минус", если направлена от узла 1.
После вычисления величины потенциала?1 находим токи в ветвях, используя закон Ома для активной и пассивной ветви.






