Муреин - пептидогликан
Свойства:
Химические:
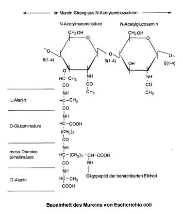
1) по сути последовательность двух аминосахаров - N-ацетилглюкозамина (NAG) и N-ацетилмурамовой (NAM) кислоты, сшитые b-1,4-гликозидными связями; поперечные связи - пептидные мостики.
2) В поперечном направлении у грам-(+) прошит тейхоевыми кислотами (полиолфосфаты (фосфаты многоатомных спиртов) на основе глицерина с разными заместителями - через -O- связь соединены с C6-атомом в NAM.
Особенности:
а) Функция тейхоевых кислот - улучшают эластичность, действуют наподобие пружин.
б) Связывают Mg{2+} - могут выполнять роль ионообменника(??)
в) В условиях фосфорного голодания заменяются на тейхоуроновые кислоты.
Физические:
1) Эластичен (может растягивать/сжиматься до 4х раз)
2) Селективен (наибольший размер отверстия достигает 1-4 x 4-5 нм - пропускает молекулы до 55 кДа, этот размер не зависит от толщины муреинового слоя) - поэтому для сборки внеклеточных структур (жгутики, пили) или переноса ДНК при конъюгации необходимы гидролазы муреина, локально расширяющие отверстия.
Подавление синтеза муреина:
1) D-циклосерин
2) Ванкомицин
3) Пенициллин
_______________________________________________________________
Грам(+):
1) Муреин (до 40 слоёв, до 50нм, есть тейхоевые кислоты)
2) Затем ЦПМ
Грам(-):
1) Внешняя мембрана (ВМ) - состоит из 2х слоёв - внутренний из фосфолипидов (наиболее распространённый - фосфатидилэтаноламин), внешний из липополисахаридов; содержит белки (в частности белки порины), участвующие в сборке поверхностных структур, конъюгации, секреции etc..
Функция ВМ: контакт клеток между собой, с поверхностью субстрата, с клетками организма-хозяина при патогенезе.
2) Муреин (1 слой, 3 нм, нет тейхоевых кислот)
3) ЦПМ
Периплазматическое пространство - пространство между ВМ и ЦПМ.
ВМ связана с муреином с помощью липопротеина (N-концом с жирными кислотами во ВМ, C-концом связан с муреином);
Липополисахариды ВМ:
1) Основной компонент ВМ
2) Состоит из 3х частей:
1) Kdo-липид А (очень консервативен среди всех, у кого он есть)
2) Олигосахарид (более-менее консервативен, но меньше)
3) О-антиген (именно эта часть участвует во всех имунных взаимодействиях; состоит из повторяющихся полисахаридных единиц)
Археи
Клеточная стенка трёх типов:
1) Псевдомуреин (нет NAM)
2) Белковый S-слой (структурированные белки, содержащие кислые аминокислоты, за счёт чего на поверхности клетки создаётся тонкий слой воды, отталкиващий ионы солей)
3) Отсутствие клеточной стенки, тогда мембрана представлена ригидным монослоем из тетрамеров с некоторым количеством 5членных колец.

Методы термической стерилизации:
1) Прокаливание в пламени
2) Сухожаровая (горячий воздух)
3) Автоклавирование (насыщенный пар под давлением)
4) Тиндализация (=дробная стерилизация, для культур, разлагающихся от высокой температуры)
5) Кипячение
Гетероцисты:
Специализированные клетки нитчатых цианобактерий, осуществляющие азотфиксацию.
Особенности строения и функционирования
1) Неспособны к росту/делению
2) В них разрушается фотосистема II ==> нет фотосинтеза
3) Две дополнительные оболочки
а) Внутренняя - гидроксилированные гликолипиды
б) Наружная - полисахариды
4) Высокая оксидазная активность (много оксидазы)
5) По плазмдесмам от них идёт связанный азот, к ним - органика.
6) Нет цикла Кальвина, но есть окислительный пентозофосфатный путь (глюкоза/сахароза для него поставляется из соседних клеток (см.пункт 5)
Методы культивирования анаэробов
(стр.41 в практикуме)
Чтобы культивировать анаэробы, нужно свести к минимуму соприкосновение с кислородом. Используются следующие методы:
1) Выращивание в высоком слое среды (в высоких сосудах)
а) Разделяют жидкую среду на части и стерилизуют отдельно (это нужно т.к. при стерилизации высота среды должна быть не больше 1/2 высоты сосуда)
б) Перед посевом разные части среды кипятят, прогревают на водяной бане 30 мин, затем быстро охлаждают (чтобы не успел раствориться кислород), делают посев в одну из частей
в) Доливают другие части
2) Культивирование в вязких средах (картофельная среда, кукурузная мука; вязкость можно увеличить добавив 0,2% агара) - т.к. с увеличением вязкости уменьшается растворимость кислорода
3) Культивирование в толще среды
а) Делают посев в среду
(3 варианта) б.1) Оставляют в пробирках
б.2) Переливают в трубки Бурри (стеклянные трубочки 25см длиной, 1.5 см диаметром; стерилизуют, заткнув концы ватной пробкой, перед посевом заменяют резиновыми)
б.3) Переливают в чашку Петри (переливают в крышку чашки Петри, после застывания среды плотно прижимают дно; зазор между стенками заливают парафином)
4) Культивирование в анаэростатах (вакуумные камеры, из них откачивается воздух и они заполняются газовой смесью (85% N2, 15% H2CO3), и давление 0.7ати - избыточное давление исключает возможность диффундирования кислорода)
Степень восстановленности среды (степень поглощения кислорода) определяется ОкВост.потенциалом (Eh), может быть измерен потенциометром или индикатором (резазурин).
Принципы культивирования строгих анаэробов по Хангейту:
1) Все процедуры проводим, защищаясь от кислорода (анаэробный бокс, кипячение, работа в токе стерильного газа; можно поставить вещества, которые будут поглощать кислород из газа - дитионит натрия, пирогаллол, Cu при 400*С)
2) До посева в среду добавляют восстановители (цистеин, Na2SO4, тиологликат) для поглощения кислорода
3) Пересевы и добавки - с помощью шприцов с газом без кислорода
4) Все трубки/шланги для пропускания газа должны быть изготовлены из материала не допускающего диффузию сквозь него кислорода (для этого используют медь, нагретую до 400*С, в контакте с кислородом образует оксид CuO)
Как измерить амилолитическую активность?
Состав среды (г/л):
агар - 15
пептон - 10
KH2PO4 - 5
крахмал - 2
pH среды = 6.8-7
Стерилизация - при 1ати, затем в чашки Петри и посев
Продолжительность культивирования - до 10 дней
Проверка амилолитической активности: обработка р-ром Люголя (содержит крахмал - синий, не содержит - бесцветный или бурый)
Способы поддержания pH в среде:
1) Буферные растворы (обычно - фосфатный буфер), но нельзя добавлять больше 5г фосфата на 1л среды ==> если изменение pH сильное, но не поможет
2) Введение избытка мела (он будет нейтрализовать кислоты)
3) Непрерывное подведение pH автоматическими устройствами - необходимо, если нужно поддерживать pH в пределах 7.2 - 8.5 (нет буферов в этой области)
Включения серы:
Есть у
1) Аэробных тионовых бактерий (для них сера - источник энергии - окисляют сероводород)
2) Анаэробные фотосинтезирующие бактерии (у них сера - донор электронов)
Хорошо заметны без окрашивания благодаря двойному лучепреломлению. Растворяются при обработке абс.спиртом, сероуглеродом, ледяной уксусной.






