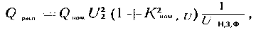
Конденсаторные установки. Подключение симметричной по емкости трехфазной конденсаторной батареи к электрической сети с несимметричным напряжением может вызвать еще большую несимметрию. Кроме того, при несимметрии напряжении конденсаторные установки неравномерно загружаются реактивной мощностью по фазам, изменяется их обшая реактивная мощность. Отношение реактивной мощности конденсаторной установки при несимметричном напряжении к реактивной мощности при симметричном напряжении в номинальном режиме имеет вид:

Нормальная длительная эксплуатация конденсаторной установки возможна при условии, если ни в одной фазе, в том числе и в наиболее загруженной, мощность потерь не превышает номинального значения. Это условие делает невозможным полное использование установленной реактивной мощности. Ее можно использовать только до уровня располагаемой мощности. Располагаемая мощность — это верхний предел реактивной мощности трехфазной конденсаторной установки, которая может быть полезно использована при несимметричном напряжении без снижения срока службы конденсаторов наиболее загруженной фазы. Располагаемая мощность при несимметричном напряжении всегда меньше номинальной:

где U н, ф, з — напряжение наиболее загруженной фазы.
Многофазные выпрямители. Несимметрия напряжений оказывает отрицательное влияние на режим работы многофазных выпрямителей. Если при симметричном напряжении токи (например, в мостовой схеме) одинаковы во всех вентилях, то при несимметричном напряжении они могут значительно отличаться. В результате допустимая мощность выпрямителя снижается, так как часть вентилей оказывается перегруженной.
Несимметрия напряжений также снижает эффективность работы трех-, шести-, двенадцатифазных и других схем выпрямления. При несимметрии напряжений появляются гармоники тока двойной частоты, амплитуда которых пропорциональна коэффициенту несимметрии напряжений. Эти гармоники перегружают конденсаторы сглаживающих фильтров и выводят их из строя. Наличие пульсаций, например в напряжении тяговой сети, даже при сглаживающих фильтрах отрицательно влияет на работу связи.
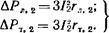
Трансформаторы. Кабельные и воздушные лини и. При расчете потерь активной мощности в кабельных и воздушных линиях ⌂РЛ, 2 и трансформаторах ⌂РТ, 2 в несимметричных режимах приближенно полагают, что эти потери определяются только током обратной последовательности I2:

Несимметрия напряжений не оказывает заметного влияния на работу кабельных и воздушных линий, но при тех же условиях нагрев трансформаторов и сокращение срока их службы могут оказаться существенными.
Токи нулевой последовательности постоянно проходят через заземлители и отрицательно сказываются па их работе, вызывая высушивание грунта и увеличение сопротивления растеканию. Они оказывают значительное влияние на низкочастотные каналы проводной связи, сигнализации и автоблокировки.
Снижение несимметрии напряжений. Основной причиной возникновения несимметрии напряжений является наличие несимметричных однофазных электрических нагрузок. Рассмотрим основные методы и схемы симметрирования однофазных нагрузок.
В некоторых случаях можно снизить несимметрию напряжений рациональным пофазным распределением нагрузок. Пофазное перераспределение нагрузок не всегда позволяет обеспечить несимметрию напряжений в допустимых пределах. Это объясняется тем, что ряд электротермических установок по условиям технологии и эксплуатации находится в работе непостоянно. В этих случаях для снижения несимметрии применяются специальные симметрирующие устройства.
Симметрирование системы линейных напряжений трехфазной сети сводится к компенсации тока обратной последовательности, потребляемого однофазными нагрузками и обусловленного им напряжения обратной последовательности.

| Рис. 1. Схема симметрирования однофазной нагрузки Штейнметца. |
| Рис. 2. Векторная диаграмма токов и напряжений для схемы Штейнметца. |
Симметрирующие устройства изготовляются управляемыми и неуправляемыми, в зависимости от характера графика нагрузки. В настоящее время разработано большое число схем симметрирующих устройств с электрическими и с электромагнитными связями между элементами.
Для симметрирования однофазных приемников электрической энергии с практически постоянным графиком нагрузки и коэффициентом мощности, близким к 1 (дуговые печи косвенного действия, печи сопротивления), применяется схема Штейнметца (рис.1). Требуемая мощность конденсаторной батареи С и дросселя L определяется из условия [93
Qc = QL= (5-41)
где Р0 — активная мощность однофазной нагрузки.
Векторная диаграмма токов и напряжений для схемы Штейнметца приведена на рис. 2.
Компенсация тока обратной последовательности осуществляется с помощью конденсаторной батареи С и дросселя L.