В зависимости от характера развития неравномерных осадок основания и жесткости сооружения различают следующие формы деформаций сооружений: крен, прогиб, выгиб, перекос и кручение (рис.Ф.6.8.).
|
| Рис.Ф.6.8. Проявление различных видов деформаций: а - прогиб; б - перекос; в, г, д - крен; е - прогиб и выгиб; ж - выгиб |
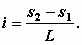
Крен (см.рис.Ф.6.8,в,г,д) поворот относительно горизонтальной оси. Крен возникает при неравномерной загрузке основания или при наличии в основании несимметричного напластования грунтов. Крен всего сооружения с фундаментами в виде сплошных железобетонных плит определяется как разность осадок его противоположных сторон, отнесенная к расстоянию между ними:

Предельная величина крена ограничена требованиями СНиП [1]. Наибольшую опасность крен представляет для высоких сооружений (элеваторы, дымовые трубы, антенны и др.).
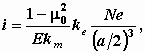
При действии внецентренной нагрузки может возникнуть крен фундамента, который определяется из выражения

где E и 0 соответственно модуль деформации и коэффициент Пуассона грунта основания (при неоднородном основании значения E и 0принимаются средними в пределах сжимаемой толщи); ke коэффициент, зависящий от формы фундамента; N вертикальная составляющая равнодействующей всех нагрузок на фундамент на уровне его подошвы; e эксцентриситет; a диаметр круглого или сторона прямоугольного фундамента, в направлении которой действует момент; для фундаментов с подошвой в форме правильного прямоугольника
(здесь A площадь многоугольника); km коэффициент, учитываемый при расчете крена фундамента по схеме линейно-деформируемого слоя при a 10 м и E 10 МПа.
Прогиб и выгиб (рис.Ф.5.2,е) вызваны искривлением сооружения по его длине. При прогибе наибольшие разрушения происходят в нижней части сооружения, а при выгибе в верхней.
Перекос возникает в конструкциях, когда резкая неравномерность осадки развивается на коротком участке сооружения при сохранении вертикального положения конструкций.
Кручение сооружения возникает при различном его крене в двух параллельных сечениях.