Принцип работы многих электромагнитных устройств постоянного тока, например электроизмерительных приборов, электромеханических реле, электромагнитов, основан на электромеханическом действии магнитного поля. Во всех этих устройствах для расчета сил, действующих на различные части магнитопроводов, часто требуется выразить силу через изменение энергии магнитного поля.
В качестве примера рассмотрим определение силы в системе, состоящей из двух катушек индуктивности: неподвижной с числом витков
и подвижной с числом витков
, подключенных к источникам постоянного тока
и
(рис. 6.14).
Предположим, что под действием силы притяжения f катушка
перемещается за
время dt вдоль горизонтальной оси х на расстояние dx. За время dt от двух источников постоянного тока в рассматриваемую систему поступит энергия
, где p1 и p2 —мгновенные значения мощности источников; u1 и u2 —напряжения между выводами катушек.
Будем для упрощения расчетов считать, что потерями в проводах катушек можно пренебречь. В этом случае энергия, полученная от источников тока, расходуется на механическую работу и на изменение энергии магнитного поля системы: 
Напряжения u1 и u2 между выводами катушек возникают вследствие изменения полных потокосцеплений в каждой из них:
Так как в рассматриваемой системе токи в катушках Jt и J2 и индуктивности катушек Lt и L2 постоянны, то изменения полных потокосцеплений
и
вызваны изменением (увеличением) взаимной индуктивности М. (В общем случае изменяться могут и индуктивности катушек вследствие изменения геометрических размеров последних.) По закону электромагнитной индукции напряжения между выводами катушек:

С учетом (1), (2) и (3) запишем уравнение (*) в виде 
В этом уравнении величина в скобках равна удвоенной энергии магнитного поля системы 2WМ, откуда dWМ = f dx. Следовательно, электромеханическая сила,действие которой вызывает перемещение катушки
, может быть найдена через соответствующее этому перемещению изменение энергии магнитного поля: 
Производная положительна, следовательно, электромеханическая сила f стремится переместить подвижную катушку так, чтобы энергия магнитного поля системы увеличивалась.
Для некоторых устройств можно считать, что при малых перемещениях подвижного элемента системы потокосцепления практически не изменяются, т. е. в (3)
и
. В таком случае система не получает энергии от источников и, следовательно,
, т. е. перемещение подвижного элемента по направлению действия силы происходит за счет уменьшения энергии магнитного поля, например, в результате уменьшения объема, занимаемого магнитным полем при сохранении его интенсивности.
Применим условие (4) к конкретному случаю—ориентировочному расчету подъемной силы электромагнита, в котором магнитное поле возбуждается постоянным током катушки (рис. 6.15).
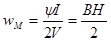
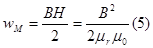
Прежде чем изложить расчет, сделаем небольшое отступление. Вспомним доказанное в курсе физики положение о том, что магнитное поле постоянного тока в ферромагнитной среде с линейными свойствами
= const или в среде без ферромагнетиков
=1 содержит в единице объема энергию
называемую удельной энергией магнитного поля. Справедливость (5) можно показать на частном примере, воспользовавшись (
) для катушки с магнитопроводом в виде тонкостенного тора с площадью поперечного сечения S и длиной средней магнитной линии l из ферромагнитного материала с линейными свойствами, т. е. при
:
,
Где
,
, 
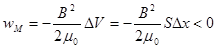
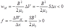
Продолжим теперь расчет подъемной силы электромагнита. Если считать, что индукция В магнитного поля в воздушном зазоре между сердечником и якорем электромагнита не изменяется при перемещении якоря на расстояние Δx, то и удельная энергия магнитного поля в зазоре остается одной и той же. Следовательно, при перемещении якоря на расстояние Δх изменение энергии магнитного поля 
Так как было принято, что индукция магнитного поля при перемещении якоря не изменяется, то на основании (3) получим: 
По этой формуле можно ориентировочно рассчитать подъемную силу электромагнита любого типа, в котором магнитное поле возбуждается постоянным током катушки. Но при точном расчете необходимо учитывать особенности каждой из конструкций.
В общем случае энергия магнитного поля системы зависит не только от взаимного расположения ее частей. Поэтому при определении сил, возникающих в магнитном поле, следует пользоваться понятием частной производной от энергии магнитного поля по координате перемещения подвижной части, как это сделано в дальнейшем.






